Preferências e Utilidade

Autor
Afiliação

Roney Fraga Souza

Universidade Federal de Mato Grosso

Data de Publicação

2026-05-18

Por onde começar?

Apresentação interativa: Use as setas de navegação ou as teclas ← → para navegar entre os slides.

Abrir em tela cheia, ou acessar na pequena janela abaixo ↓.

Símbolo Significado
\(A \succ B\) \(A\) é estritamente preferido a \(B\)
\(A \sim B\) \(A\) é indiferente a \(B\) (mesma satisfação)
\(A \succeq B\) \(A\) é pelo menos tão bom quanto \(B\)
\(U: \mathbb{R}^n_+ \to \mathbb{R}\) função de utilidade, mapeia cestas de bens em números reais
\(U(x, y)\) utilidade da cesta \((x, y)\) no caso de dois bens
\(\mathbb{R}^n_+\) conjunto dos vetores com \(n\) componentes não-negativos
\(F(U)\), \(F' > 0\) transformação monotônica (função crescente aplicada sobre \(U\))

Desenvolvimento Teórico

A teoria do consumidor parte de três axiomas que formalizam o que significa “escolher racionalmente”.

Axioma I: Completude

Para quaisquer duas cestas \(A\) e \(B\), o indivíduo pode sempre afirmar exatamente uma das três relações:

\[A \succ B, \quad B \succ A, \quad \text{ou} \quad A \sim B\]

O consumidor não fica “paralisado pela indecisão”: consegue sempre comparar duas alternativas.

Axioma II: Transitividade

Se \(A \succ B\) e \(B \succ C\), então \(A \succ C\). As escolhas são internamente consistentes. Sem transitividade, seria possível explorar o consumidor em ciclos de trocas infinitas: vendendo \(C\) por \(B\), depois \(B\) por \(A\), depois \(A\) por \(C\), e assim por diante, extraindo recursos indefinidamente.

Axioma III: Continuidade

Se \(A \succ B\), então cestas “suficientemente próximas” a \(A\) também são preferidas a \(B\). Este axioma técnico garante que pequenas mudanças em quantidades ou preços levam a pequenas mudanças nas escolhas, viabilizando a análise com funções contínuas.

Quando esses três axiomas são satisfeitos, é possível demonstrar que existe uma função de utilidade \(U(x_1, x_2, \ldots, x_n)\) que representa as preferências do consumidor, no sentido de que:

\[A \succ B \iff U(A) > U(B), \qquad A \sim B \iff U(A) = U(B)\]

(Nicholson e Snyder, 2018; Perloff, 2022)

Definição formal da função de utilidade

Uma função de utilidade é um mapeamento \(U: \mathbb{R}^n_+ \to \mathbb{R}\) tal que, para quaisquer duas cestas \(A = (x_1^A, \ldots, x_n^A)\) e \(B = (x_1^B, \ldots, x_n^B)\):

\[U(x_1^A, \ldots, x_n^A) \geq U(x_1^B, \ldots, x_n^B) \iff A \succeq B\]

Utilidade ordinal e não unicidade

A função de utilidade tem natureza ordinal: o que importa é a ordenação, não a magnitude dos números. Qualquer transformação monotônica \(F(U)\) com \(F'(U) > 0\) preserva a ordenação e representa as mesmas preferências.

Por exemplo, dado \(U(x,y) = xy\):

  • \(V(x,y) = \ln(xy) = \ln x + \ln y\) representa as mesmas preferências, pois \(\ln(\cdot)\) é estritamente crescente.
  • \(W(x,y) = (xy)^2 = x^2 y^2\) também representa as mesmas preferências para \(U > 0\), pois \((\cdot)^2\) é estritamente crescente no domínio positivo.

Isso significa que não há sentido em dizer que uma cesta “gera o dobro de utilidade” que outra: só podemos afirmar que é preferida, indiferente ou preterida.

Exercício Resolvido

Considere três cestas compostas por alimento (\(x\)) e vestuário (\(y\)). Verifique que as funções \(U\), \(V\) e \(W\) produzem a mesma ordenação.

Cesta \(x\) \(y\) \(U = xy\) \(V = \ln(xy)\) \(W = (xy)^2\)
A 4 3 \(4 \times 3 = 12\) \(\ln(12) = 2{,}48\) \(12^2 = 144\)
B 2 6 \(2 \times 6 = 12\) \(\ln(12) = 2{,}48\) \(12^2 = 144\)
C 1 4 \(1 \times 4 = 4\) \(\ln(4) = 1{,}39\) \(4^2 = 16\)

Comparando os valores dentro de cada coluna (\(U\), \(V\) ou \(W\)), as três funções produzem a mesma ordenação: \(A \sim B \succ C\).

Passo 2: verificar a ordenação

Todas as três funções produzem a mesma ordenação: \(A \sim B \succ C\). As cestas A e B são indiferentes entre si e ambas são preferidas à cesta C.

Passo 3: verificar a monotonicidade das transformações

  • \(V = \ln(U)\): a derivada é \(dV/dU = 1/U > 0\) para \(U > 0\). Logo, \(V\) é estritamente crescente em \(U\).
  • \(W = U^2\): a derivada é \(dW/dU = 2U > 0\) para \(U > 0\). Logo, \(W\) é estritamente crescente em \(U\) no domínio relevante.

Ambas as transformações preservam a ordenação, confirmando que representam as mesmas preferências.

Implementação em R

Código
suppressPackageStartupMessages({
  library(ggplot2)
  library(dplyr)
  library(latex2exp)
})

# Ponto de referência: cesta A = (4, 3)
x_star <- 2.5
y_star <- 2


# Triângulo "Preferido a (x*, y*)" no quadrante NE
tri_df <- data.frame(
  x = c(x_star, x_star, 8),
  y = c(y_star, 6, y_star)
)

ggplot2::ggplot() +
  # Triângulo sombreado: preferido
  ggplot2::geom_polygon(
    data = tri_df,
    ggplot2::aes(x = x, y = y),
    fill = "#b8cfe0", alpha = 0.6
  ) +
  # Linhas sólidas nos limites do ponto de referência
  ggplot2::geom_segment(
    ggplot2::aes(x = x_star, y = y_star, xend = x_star, yend = 6),
    color = "gray30", linewidth = 0.8
  ) +
  ggplot2::geom_segment(
    ggplot2::aes(x = x_star, y = y_star, xend = 8, yend = y_star),
    color = "gray30", linewidth = 0.8
  ) +
  # Linhas tracejadas até os eixos
  ggplot2::geom_segment(
    ggplot2::aes(x = x_star, y = 0, xend = x_star, yend = y_star),
    linetype = "dashed", color = "gray50"
  ) +
  ggplot2::geom_segment(
    ggplot2::aes(x = 0, y = y_star, xend = x_star, yend = y_star),
    linetype = "dashed", color = "gray50"
  ) +
  # Rótulos dos quadrantes
  ggplot2::annotate("text", x = 6, y = 4.5, label = "Preferido a\n(x*, y*)",
                    size = 4.5, color = "gray20", fontface = "bold") +
  ggplot2::annotate("text", x = 1.5, y = 1.2, label = "Pior que\n(x*, y*)",
                    size = 4.5, color = "gray20", fontface = "bold") +
  ggplot2::annotate("text", x = 2, y = 4.5, label = "?",
                    size = 7, color = "gray40") +
  ggplot2::annotate("text", x = 6, y = 1.5, label = "?",
                    size = 7, color = "gray40") +
  # Ponto de referência
  ggplot2::geom_point(
    ggplot2::aes(x = x_star, y = y_star),
    size = 4, color = "black"
  ) +
  # Rótulos nos eixos
  ggplot2::annotate("text", x = x_star, y = -0.25, label = "x*", size = 4.5) +
  ggplot2::annotate("text", x = -0.3, y = y_star, label = "y*", size = 4.5) +
  ggplot2::scale_x_continuous(
    expand = c(0, 0),
    limits = c(-0.5, 8.5),
    breaks = NULL
  ) +
  ggplot2::scale_y_continuous(
    expand = c(0, 0),
    limits = c(-0.5, 6.5),
    breaks = NULL
  ) +
  ggplot2::labs(
    x = latex2exp::TeX(r"(Quantidade de $x$)"),
    y = latex2exp::TeX(r"(Quantidade de $y$)")
  ) +
  ggplot2::theme_minimal() +
  ggplot2::theme(
    axis.line        = ggplot2::element_line(color = "black", linewidth = 0.8),
    panel.grid       = ggplot2::element_blank(),
    axis.text        = ggplot2::element_blank(),
    axis.ticks       = ggplot2::element_blank()
  )

Interpretação

O gráfico ilustra o princípio de que “mais é melhor” (monotonicidade fraca): qualquer cesta com mais de ambos os bens é preferida ao ponto de referência \(A\), enquanto qualquer cesta com menos de ambos é pior. As regiões superior-esquerda e inferior-direita são ambíguas porque contêm mais de um bem e menos do outro, e a ordenação depende das preferências específicas do consumidor.

Utilidade ordinal versus cardinal: a função de utilidade informa apenas a ordenação das cestas, não a intensidade da preferência. Dizer que \(U(A) = 12\) e \(U(C) = 4\) não significa que A é “três vezes melhor” que C, mas apenas que A é preferido a C.

Limitações dos axiomas: preferências lexicográficas (por exemplo, sempre preferir mais \(x\), independentemente de \(y\)) satisfazem completude e transitividade, mas violam continuidade, e portanto não admitem representação por função de utilidade contínua. (Nicholson e Snyder, 2012)

Este box apresenta as definições formais de preferências usadas em livros de nível avançado (mestrado/doutorado), seguindo a notação e estrutura de Jehle e Reny (2011). O objetivo é mostrar como os mesmos conceitos do Note 3.1 são expressos com maior rigor matemático.

Notação e ambiente

Símbolo Significado
\(X = \mathbb{R}^n_+\) conjunto de consumo: todas as cestas com \(n\) bens e quantidades não-negativas
\(\mathbf{x} = (x_1, x_2, \ldots, x_n)\) uma cesta de consumo (vetor em \(\mathbb{R}^n_+\))
\(\succeq\) relação de preferência fraca (“pelo menos tão bom quanto”)
\(\succ\) preferência estrita (derivada de \(\succeq\))
\(\sim\) indiferença (derivada de \(\succeq\))
\(\not\succeq\) “não é pelo menos tão bom quanto” (negação de \(\succeq\))
\(\iff\) “se e somente se” (equivalência lógica)
\(\in\) “pertence a” (elemento de um conjunto)
\(\subseteq\) “está contido em” (subconjunto)
\(\geq\), \(\gg\) \(\geq\): cada componente pelo menos igual; \(\gg\): todos estritamente maiores
\(\forall\) “para todo”
\(u: X \to \mathbb{R}\) função que mapeia cestas (\(X\)) em números reais (\(\mathbb{R}\))

Conjunto de consumo

O ponto de partida é o conjunto de consumo \(X\), que representa todas as cestas concebíveis pelo consumidor. Formalmente (Jehle e Reny, 2011):

Hipótese 1.1 (Propriedades de \(X\)):

  1. \(X \subseteq \mathbb{R}^n_+\) (quantidades não-negativas)
  2. \(X\) é fechado
  3. \(X\) é convexo
  4. \(\mathbf{0} \in X\) (é possível não consumir nada)

Na prática, assumimos \(X = \mathbb{R}^n_+\) (o conjunto de todos os vetores com \(n\) componentes não-negativos, ou seja, todas as cestas possíveis com quantidades \(\geq 0\)).

Relação de preferência: a primitiva

A relação de preferência \(\succeq\) é uma relação binária sobre \(X\): para cada par de cestas \(\mathbf{x}^1, \mathbf{x}^2 \in X\), podemos perguntar se \(\mathbf{x}^1 \succeq \mathbf{x}^2\) (“\(\mathbf{x}^1\) é pelo menos tão bom quanto \(\mathbf{x}^2\)”).

A partir de \(\succeq\), derivamos duas relações auxiliares (Jehle e Reny, 2011):

Preferência estrita \(\succ\) (Definição 1.2):

\[\mathbf{x}^1 \succ \mathbf{x}^2 \quad \iff \quad \mathbf{x}^1 \succeq \mathbf{x}^2 \text{ e } \mathbf{x}^2 \not\succeq \mathbf{x}^1\]

Lê-se: “\(\mathbf{x}^1\) é estritamente preferido a \(\mathbf{x}^2\)” (é pelo menos tão bom, mas o inverso não vale).

Indiferença \(\sim\) (Definição 1.3):

\[\mathbf{x}^1 \sim \mathbf{x}^2 \quad \iff \quad \mathbf{x}^1 \succeq \mathbf{x}^2 \text{ e } \mathbf{x}^2 \succeq \mathbf{x}^1\]

Lê-se: “\(\mathbf{x}^1\) é indiferente a \(\mathbf{x}^2\)” (cada uma é pelo menos tão boa quanto a outra).

Axiomas de racionalidade

A relação \(\succeq\) é chamada de relação de preferência se satisfaz os dois axiomas seguintes (Jehle e Reny, 2011):

Axioma 1 (Completude): Para todo \(\mathbf{x}^1, \mathbf{x}^2 \in X\), vale \(\mathbf{x}^1 \succeq \mathbf{x}^2\) ou \(\mathbf{x}^2 \succeq \mathbf{x}^1\) (ou ambos).

O consumidor consegue comparar quaisquer duas cestas. Não existe “não sei decidir”.

Axioma 2 (Transitividade): Para todo \(\mathbf{x}^1, \mathbf{x}^2, \mathbf{x}^3 \in X\), se \(\mathbf{x}^1 \succeq \mathbf{x}^2\) e \(\mathbf{x}^2 \succeq \mathbf{x}^3\), então \(\mathbf{x}^1 \succeq \mathbf{x}^3\).

As escolhas são internamente consistentes. Sem transitividade, o consumidor poderia ser explorado em ciclos de trocas.

Propriedades derivadas: Se \(\succeq\) satisfaz os Axiomas 1 e 2, então:

  • \(\succ\) é irreflexiva (\(\mathbf{x} \succ \mathbf{x}\) nunca vale) e transitiva
  • \(\sim\) é reflexiva (\(\mathbf{x} \sim \mathbf{x}\) sempre vale), transitiva e simétrica
  • Se \(\mathbf{x}^1 \succ \mathbf{x}^2 \succeq \mathbf{x}^3\), então \(\mathbf{x}^1 \succ \mathbf{x}^3\)

Axiomas adicionais sobre preferências

Além de racionalidade, a teoria do consumidor impõe restrições sobre a “forma” das preferências (Jehle e Reny, 2011):

Axioma 3 (Continuidade): Para todo \(\mathbf{x} \in \mathbb{R}^n_+\), os conjuntos “pelo menos tão bom quanto” \(\succeq(\mathbf{x}) = \{\mathbf{y} \in X : \mathbf{y} \succeq \mathbf{x}\}\) e “não melhor que” \(\preceq(\mathbf{x}) = \{\mathbf{y} \in X : \mathbf{x} \succeq \mathbf{y}\}\) são fechados em \(\mathbb{R}^n_+\).

Continuidade garante que pequenas mudanças nas cestas levam a pequenas mudanças nas preferências. Exclui “reversões súbitas” de preferência. É o axioma que permite a representação por uma função de utilidade contínua.

Axioma 4 (Monotonicidade estrita): Para todo \(\mathbf{x}^0, \mathbf{x}^1 \in \mathbb{R}^n_+\): se \(\mathbf{x}^0 \geq \mathbf{x}^1\) então \(\mathbf{x}^0 \succeq \mathbf{x}^1\); se \(\mathbf{x}^0 \gg \mathbf{x}^1\) então \(\mathbf{x}^0 \succ \mathbf{x}^1\).

Onde \(\mathbf{x}^0 \geq \mathbf{x}^1\) significa que cada componente de \(\mathbf{x}^0\) é pelo menos igual ao correspondente em \(\mathbf{x}^1\), e \(\gg\) significa estritamente maior em todos os componentes. Este é o “mais é melhor” formalizado.

Axioma 5 (Convexidade estrita): Se \(\mathbf{x}^1 \neq \mathbf{x}^0\) e \(\mathbf{x}^1 \succeq \mathbf{x}^0\), então \(t\mathbf{x}^1 + (1-t)\mathbf{x}^0 \succ \mathbf{x}^0\) para todo \(t \in (0, 1)\).

Combinações de cestas indiferentes são estritamente preferidas: cestas balanceadas são melhores que cestas extremas.

Conjuntos derivados da relação de preferência

Dada uma cesta de referência \(\mathbf{x}^0\), a relação \(\succeq\) divide o conjunto de consumo em regiões (Definição 1.4):

Conjunto Definição Leitura Região no gráfico
\(\succeq(\mathbf{x}^0)\) \(\{\mathbf{x} \in X : \mathbf{x} \succeq \mathbf{x}^0\}\) cestas pelo menos tão boas quanto \(\mathbf{x}^0\) acima da curva de indiferença
\(\preceq(\mathbf{x}^0)\) \(\{\mathbf{x} \in X : \mathbf{x}^0 \succeq \mathbf{x}\}\) cestas não melhores que \(\mathbf{x}^0\) abaixo da curva de indiferença
\(\succ(\mathbf{x}^0)\) \(\{\mathbf{x} \in X : \mathbf{x} \succ \mathbf{x}^0\}\) cestas estritamente preferidas a \(\mathbf{x}^0\) acima, sem a fronteira
\(\prec(\mathbf{x}^0)\) \(\{\mathbf{x} \in X : \mathbf{x}^0 \succ \mathbf{x}\}\) cestas estritamente piores que \(\mathbf{x}^0\) abaixo, sem a fronteira
\(\sim(\mathbf{x}^0)\) \(\{\mathbf{x} \in X : \mathbf{x} \sim \mathbf{x}^0\}\) cestas indiferentes a \(\mathbf{x}^0\) a própria curva de indiferença

Esses conjuntos formam uma partição de \(X\): toda cesta pertence a exatamente uma das três categorias (preferida, indiferente, ou pior que \(\mathbf{x}^0\)).

Representação por função de utilidade

Uma função \(u: X \to \mathbb{R}\) é uma função de utilidade representando \(\succeq\) se:

\[\mathbf{x} \succeq \mathbf{y} \quad \iff \quad u(\mathbf{x}) \geq u(\mathbf{y})\]

\(\succeq\) pode ser representada por uma função de utilidade somente se é racional (completa e transitiva). Com o acréscimo do Axioma 3 (continuidade), garante-se a existência de uma função de utilidade contínua (Jehle e Reny, 2011).

A representação não é única: para qualquer função estritamente crescente \(f: \mathbb{R} \to \mathbb{R}\), \(v(\mathbf{x}) = f(u(\mathbf{x}))\) também representa \(\succeq\). Propriedades invariantes sob transformações crescentes são ordinais; propriedades que dependem dos valores numéricos são cardinais.

Conexão com Note 3.1

Conceito (Nicholson) Formalização avançada
“Consumidor pode comparar” Axioma 1 (Completude)
“Escolhas consistentes” Axioma 2 (Transitividade)
“Pequenas mudanças, pequenos efeitos” Axioma 3 (Continuidade)
“Mais é melhor” Axioma 4 (Monotonicidade)
“Cestas balanceadas preferidas” Axioma 5 (Convexidade)
\(U\) representa preferências Preferir \(\mathbf{x}\) a \(\mathbf{y}\) equivale a \(u(\mathbf{x}) \geq u(\mathbf{y})\)
Transformação monotônica preserva ordenação Aplicar qualquer função crescente sobre \(u\) gera outra função de utilidade válida

Referência principal: (Jehle e Reny, 2011, cap. 1.2.1). Para uma abordagem alternativa com ênfase em estruturas de escolha e preferência revelada, ver (Mas-Colell, Whinston e Green, 1995, cap. 1.B–1.D).

Símbolo Significado
\(U(x,y) = k\) curva de indiferença: cestas que fornecem utilidade \(k\)
\(TMS\) taxa marginal de substituição
\(dy/dx\|_{U=k}\) inclinação da curva de indiferença (derivada mantendo \(U\) constante)
\(U_x = \partial U/\partial x\) utilidade marginal de \(x\) (ganho de utilidade por unidade adicional de \(x\))
\(U_y = \partial U/\partial y\) utilidade marginal de \(y\)
\(dU\) diferencial total da função de utilidade

Curvas de indiferença

Uma curva de indiferença é o conjunto de todas as cestas \((x, y)\) que fornecem o mesmo nível de utilidade: \(U(x,y) = k\), para alguma constante \(k\). Cada curva representa um nível de satisfação.

O plano \((x, y)\) é preenchido por infinitas curvas de indiferença, uma para cada nível \(k\). A utilidade cresce na direção superior-direita (mais de ambos os bens). Analogia com curvas de nível num mapa topográfico: cada curva conecta pontos de mesma “altitude” de utilidade.

Por que curvas de indiferença não se cruzam: suponha que as curvas \(U_1\) e \(U_2\) se cruzem no ponto \(E\). Tomemos \(A\) em \(U_1\) e \(B\) em \(U_2\) tal que \(A\) tenha mais de ambos os bens que \(B\) (logo \(A \succ B\)). Mas \(A \sim E\) (ambos em \(U_1\)) e \(E \sim B\) (ambos em \(U_2\)). Por transitividade, \(A \sim B\), contradição. (Nicholson e Snyder, 2018)

Taxa marginal de substituição (TMS)

A TMS no ponto \((x, y)\) é o valor absoluto da inclinação da curva de indiferença nesse ponto:

\[TMS = -\frac{dy}{dx}\bigg|_{U=k}\]

A TMS mede a disposição do consumidor a trocar \(y\) por \(x\) mantendo a utilidade constante. Se \(TMS = 4\), o consumidor está disposto a abrir mão de 4 unidades de \(y\) para obter 1 unidade adicional de \(x\).

A TMS é decrescente ao longo da curva: conforme o consumidor se move (mais \(x\), menos \(y\)), a disposição a trocar \(y\) por \(x\) diminui. Isso reflete a preferência por variedade.

Derivação da TMS via utilidades marginais

Ao longo da curva de indiferença, todas as cestas fornecem o mesmo nível de utilidade \(U(x,y) = k\). Se o consumidor troca um pouco de \(y\) por um pouco de \(x\) e permanece na mesma curva, a variação total da utilidade é zero (\(dU = 0\)):

\[dU = \underbrace{\frac{\partial U}{\partial x}}_{U_x}\,dx + \underbrace{\frac{\partial U}{\partial y}}_{U_y}\,dy = 0\]

O ganho de utilidade por aumentar \(x\) (parcela \(U_x\,dx\)) é exatamente compensado pela perda por reduzir \(y\) (parcela \(U_y\,dy\)). Isolando \(dy/dx\):

\[U_y\,dy = -U_x\,dx\]

\[\frac{dy}{dx} = -\frac{U_x}{U_y}\]

\[\boxed{TMS = \frac{U_x}{U_y}}\]

A TMS é a razão das utilidades marginais. As unidades de “utilidade” se cancelam, restando apenas as unidades físicas dos bens.

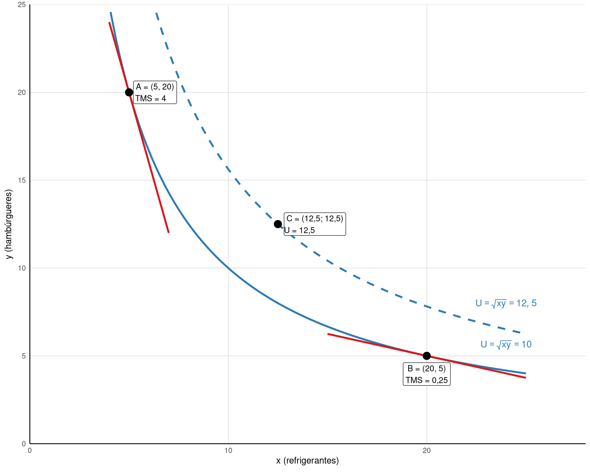
Exemplo numérico: \(U(x,y) = \sqrt{xy}\)

Baseado em Nicholson Example 3.1 (Nicholson e Snyder, 2012).

Suponha que o ranking de uma pessoa sobre hambúrgueres (\(y\)) e refrigerantes (\(x\)) pudesse ser representado por uma função utilidade:

\[U(x,y) = \sqrt{xy} = (xy)^{1/2}\]

Encontra-se uma curva de indiferença para essa função, identificando o conjunto de combinações de \(x\) e \(y\) para o qual a utilidade atinge o mesmo valor. Suponto que definamos arbitrariamente um valor de utilidade que seja igual a 10.

Passo 1: encontrar a curva de indiferença para \(U = 10\):

\[\begin{aligned} \sqrt{xy} &= 10 \\ xy &= 100 \\ y &= \frac{100}{x} \end{aligned}\]

A curva é uma hipérbole retangular:

Código
suppressPackageStartupMessages({
  library(ggplot2)
  library(latex2exp)
})

ggplot() +
  geom_function(
    fun = \(x) 100 / x,
    xlim = c(2, 25),
    color = "#2c7bb6",
    linewidth = 1.1
  ) +
  annotate("text", x = 24, y = 100 / 24 + 1.5,
           label = TeX(r"($U = \sqrt{xy} = 10$)"),
           color = "#2c7bb6", size = 4.5) +
  scale_x_continuous(expand = c(0, 0), limits = c(0, 28),
                     name = TeX(r"($x$ (refrigerantes))")) +
  scale_y_continuous(expand = c(0, 0), limits = c(0, 25),
                     name = TeX(r"($y$ (hambúrgueres))")) +
  theme_minimal() +
  theme(
    axis.line = element_line(color = "black", linewidth = 0.5),
    panel.grid.major = element_line(color = "gray90"),
    panel.grid.minor = element_blank()
  )

Passo 2: calcular a TMS via derivada direta:

A TMS é \(-dy/dx\). Reescrevendo \(y = 100/x\) como \(y = 100 \cdot x^{-1}\) e aplicando a regra da potência (\(\frac{d}{dx}x^n = n \cdot x^{n-1}\)):

\[\begin{aligned} \frac{dy}{dx} &= \frac{d}{dx}(100 \cdot x^{-1}) & & \text{reescrevendo } 100/x \text{ como } 100 \cdot x^{-1} \\[6pt] &= 100 \cdot (-1) \cdot x^{-1-1} & & \text{regra da potência: } n \cdot x^{n-1} \text{ com } n = -1 \\[6pt] &= -100 \cdot x^{-2} & & \text{simplificando} \\[6pt] &= -\frac{100}{x^2} & & \text{reescrevendo com expoente positivo} \end{aligned}\]

Aplicando o sinal negativo da definição de TMS:

\[\begin{aligned} TMS &= -\frac{dy}{dx} & & \text{definição} \\[6pt] &= -\left(-\frac{100}{x^2}\right) & & \text{substituindo } dy/dx \\[6pt] &= \frac{100}{x^2} & & \text{negativo de negativo = positivo} \end{aligned}\]

Como analisar \(100/x^2\)?

O \(x^2\) está no denominador: conforme \(x\) cresce, \(x^2\) cresce quadraticamente e a fração diminui. Por exemplo: se \(x = 5\), \(TMS = 100/25 = 4\); se \(x = 10\), \(TMS = 100/100 = 1\); se \(x = 20\), \(TMS = 100/400 = 0{,}25\). Quanto mais refrigerantes (\(x\)) o consumidor já possui, menor sua disposição a trocar hambúrgueres (\(y\)) por mais refrigerantes. No Passo 3 veremos que \(y\) está presente implicitamente nessa fórmula.

Passo 3: calcular a TMS via utilidades marginais:

Antes de derivar, é preciso entender o conceito de utilidade marginal. A utilidade marginal de um bem é a utilidade extra que o consumidor obtém ao consumir a última unidade desse bem, mantendo o consumo dos demais bens fixo (Perloff, 2022):

\[U_x = \frac{\partial U}{\partial x} \quad \text{(utilidade marginal de } x\text{)}\]

No nosso exemplo, \(U_x\) mede quanta utilidade adicional o consumidor obtém ao consumir um refrigerante a mais, mantendo fixa a quantidade de hambúrgueres. Analogamente:

\[U_y = \frac{\partial U}{\partial y} \quad \text{(utilidade marginal de } y\text{)}\]

\(U_y\) mede a utilidade extra de um hambúrguer a mais, mantendo fixa a quantidade de refrigerantes. A utilidade marginal é tipicamente positiva (mais é melhor) e decrescente (o décimo refrigerante vale menos que o primeiro).

Agora, aplicando a regra da potência (\(\frac{d}{dz}z^n = n \cdot z^{n-1}\)) e a regra da cadeia ao nosso exemplo:

\(U_x\): derivar \((xy)^{1/2}\) em relação a \(x\), tratando \(y\) como constante.

\[\begin{aligned} U_x &= \frac{\partial}{\partial x}(xy)^{1/2} & & \text{função original} \\[6pt] &= \frac{1}{2}(xy)^{1/2 - 1} \cdot \frac{\partial(xy)}{\partial x} & & \text{regra da potência + regra da cadeia} \\[6pt] &= \frac{1}{2}(xy)^{-1/2} \cdot y & & \text{derivada interna: } \frac{\partial(xy)}{\partial x} = y \text{ (}y \text{ é constante)} \\[6pt] &= \frac{y}{2(xy)^{1/2}} & & \text{reagrupando} \end{aligned}\]

\(U_y\): mesma lógica, agora \(x\) é constante.

\[\begin{aligned} U_y &= \frac{\partial}{\partial y}(xy)^{1/2} & & \text{função original} \\[6pt] &= \frac{1}{2}(xy)^{-1/2} \cdot \frac{\partial(xy)}{\partial y} & & \text{regra da potência + regra da cadeia} \\[6pt] &= \frac{1}{2}(xy)^{-1/2} \cdot x & & \text{derivada interna: } \frac{\partial(xy)}{\partial y} = x \text{ (}x \text{ é constante)} \\[6pt] &= \frac{x}{2(xy)^{1/2}} & & \text{reagrupando} \end{aligned}\]

Aplicando \(TMS = U_x/U_y\):

\[\begin{aligned} TMS &= \frac{U_x}{U_y} \\[6pt] &= \frac{y / 2(xy)^{1/2}}{x / 2(xy)^{1/2}} \\[6pt] &= \frac{y}{2(xy)^{1/2}} \cdot \frac{2(xy)^{1/2}}{x} \\[6pt] &= \frac{y \cdot 2(xy)^{1/2}}{2(xy)^{1/2} \cdot x} \\[6pt] &= \frac{y}{x} \end{aligned}\]

Na terceira linha, dividir por uma fração equivale a multiplicar pelo inverso. Na quarta linha, o termo \(2(xy)^{1/2}\) aparece no numerador e no denominador, cancelando-se. O resultado \(TMS = y/x\) depende apenas da razão entre as quantidades dos dois bens.

Passo 4: avaliar em dois pontos e comparar os dois métodos:

Ponto \(x\) \(y\) \(TMS = 100/x^2\) \(TMS = y/x\) Interpretação
A 5 20 \(100/25 = 4\) \(20/5 = 4\) Disposto a dar 4 hambúrgueres por 1 refrigerante
B 20 5 \(100/400 = 0{,}25\) \(5/20 = 0{,}25\) Disposto a dar apenas 0,25 hambúrguer por 1 refrigerante

Os dois métodos concordam (como esperado).

Passo 5: verificar a preferência por cestas balanceadas. O ponto médio \(C = (12{,}5;\ 12{,}5)\):

\[U(C) = \sqrt{12{,}5 \times 12{,}5} = \sqrt{156{,}25} = 12{,}5 > 10 = U(A) = U(B)\]

A cesta balanceada \(C\) proporciona utilidade \(12{,}5\), maior que \(U_1 = 10\) dos pontos \(A\) e \(B\). O ponto \(C\) está em uma curva de indiferença mais alta.

Implementação em R

Código
suppressPackageStartupMessages({
  library(ggplot2)
  library(latex2exp)
})

# Retas tangentes
# Em A = (5, 20): inclinação = -4, y = 40 - 4x
# y(3.5) = 40 - 14 = 26 -> acima do limite, usar x=4 -> y=24
tangente_a <- data.frame(x = c(4, 7), y = 40 - 4 * c(4, 7))
# Em B = (20, 5): inclinação = -0.25, y = 10 - 0.25x
tangente_b <- data.frame(x = c(15, 25), y = 10 - 0.25 * c(15, 25))

ggplot2::ggplot() +
  # Curva de indiferença U = 10: y = 100/x
  ggplot2::geom_function(
    fun = \(x) 100 / x,
    xlim = c(2, 25),
    color = "#2c7bb6",
    linewidth = 1.1
  ) +
  # Curva de indiferença U = 12.5: y = 156.25/x (tracejada)
  ggplot2::geom_function(
    fun = \(x) 156.25 / x,
    xlim = c(2, 25),
    color = "#2c7bb6",
    linewidth = 1.1,
    linetype = "dashed"
  ) +
  # Reta tangente em A (inclinação = -TMS = -4)
  ggplot2::geom_line(
    data = tangente_a,
    ggplot2::aes(x = x, y = y),
    color = "#d7191c",
    linewidth = 1.1
  ) +
  # Anotação da tangente em A
  # ggplot2::annotate(
  #   "text",
  #   x = 6.8, y = 40 - 4 * 6.8 + 1.5,
  #   label = "inclinação = -4",
  #   color = "#d7191c", size = 3.5, fontface = "italic"
  # ) +
  # Reta tangente em B (inclinação = -TMS = -0.25)
  ggplot2::geom_line(
    data = tangente_b,
    ggplot2::aes(x = x, y = y),
    color = "#d7191c",
    linewidth = 1.1
  ) +
  # Anotação da tangente em B
  # ggplot2::annotate(
  #   "text",
  #   x = 24.5, y = 10 - 0.25 * 24.5 + 1.5,
  #   label = "inclinação = -0,25",
  #   color = "#d7191c", size = 3.5, fontface = "italic"
  # ) +
  # Pontos A, B, C
  ggplot2::geom_point(
    data = data.frame(x = c(5, 20, 12.5), y = c(20, 5, 12.5)),
    ggplot2::aes(x = x, y = y),
    size = 4,
    color = "black"
  ) +
  # Rótulo do ponto A
  ggplot2::annotate(
    "label",
    x = 5, y = 20,
    label = "A = (5, 20)\nTMS = 4",
    hjust = -0.1, vjust = 0.5,
    fill = "white", size = 3.5, label.size = 0.3
  ) +
  # Rótulo do ponto B
  ggplot2::annotate(
    "label",
    x = 20, y = 5,
    label = "B = (20, 5)\nTMS = 0,25",
    hjust = 0.5, vjust = 1.3,
    fill = "white", size = 3.5, label.size = 0.3
  ) +
  # Rótulo do ponto C
  ggplot2::annotate(
    "label",
    x = 12.5, y = 12.5,
    label = "C = (12,5; 12,5)\nU = 12,5",
    hjust = -0.1, vjust = 0.5,
    fill = "white", size = 3.5, label.size = 0.3
  ) +
  # Rótulos das curvas de indiferença
  ggplot2::annotate(
    "text",
    x = 24, y = 100 / 24 + 1.5,
    label = latex2exp::TeX(r"($U = \sqrt{xy} = 10$)"),
    color = "#2c7bb6", size = 4, hjust = 0.5
  ) +
  ggplot2::annotate(
    "text",
    x = 24, y = 156.25 / 24 + 1.5,
    label = latex2exp::TeX(r"($U = \sqrt{xy} = 12{,}5$)"),
    color = "#2c7bb6", size = 4, hjust = 0.5
  ) +
  ggplot2::scale_x_continuous(
    expand = c(0, 0),
    limits = c(0, 28)
  ) +
  ggplot2::scale_y_continuous(
    expand = c(0, 0),
    limits = c(0, 25)
  ) +
  ggplot2::labs(
    x = latex2exp::TeX(r"($x$ (refrigerantes))"),
    y = latex2exp::TeX(r"($y$ (hambúrgueres))")
  ) +
  ggplot2::theme_minimal() +
  ggplot2::theme(
    axis.line        = ggplot2::element_line(color = "black", linewidth = 0.5),
    panel.grid.major = ggplot2::element_line(color = "gray90"),
    panel.grid.minor = ggplot2::element_blank()
  )

Interpretação

A TMS decrescente reflete o princípio de que consumidores preferem variedade nas suas cestas de consumo. No exemplo, o consumidor aceita ceder 4 hambúrgueres por 1 refrigerante quando tem poucos refrigerantes (ponto A), mas está disposto a abrir mão de apenas \(0{,}25\) hambúrguer por 1 refrigerante quando já possui muitos (ponto B).

A TMS decrescente está relacionada, mas não é equivalente, à utilidade marginal decrescente. A utilidade marginal decrescente (\(U_{xx} < 0\)) não é suficiente para garantir TMS decrescente. A condição correta envolve a quase-concavidade da função de utilidade. (Nicholson e Snyder, 2018)

Exercício Resolvido

Baseado em Nicholson, Problem 3.10 (Nicholson e Snyder, 2012). Considere \(U(x,y) = x^{0{,}3}y^{0{,}7}\) (Cobb-Douglas com \(\alpha \neq \beta\)). Calcule a TMS e avalie nos pontos \((2, 8)\) e \((8, 2)\).

Passo 1: utilidades marginais. Aplicando a regra da potência a \(U = x^\alpha y^\beta\) com \(\alpha = 0{,}3\) e \(\beta = 0{,}7\):

\[\begin{aligned} U_x &= \frac{\partial}{\partial x}(x^{0{,}3} y^{0{,}7}) & & \text{derivar em relação a } x \text{, } y \text{ constante} \\[6pt] &= 0{,}3 \cdot x^{0{,}3 - 1} \cdot y^{0{,}7} & & \text{regra da potência} \\[6pt] &= 0{,}3 \cdot x^{-0{,}7} \cdot y^{0{,}7} & & \text{simplificando o expoente} \end{aligned}\]


\[\begin{aligned} U_y &= \frac{\partial}{\partial y}(x^{0{,}3} y^{0{,}7}) & & \text{derivar em relação a } y \text{, } x \text{ constante} \\[6pt] &= 0{,}7 \cdot x^{0{,}3} \cdot y^{0{,}7 - 1} & & \text{regra da potência} \\[6pt] &= 0{,}7 \cdot x^{0{,}3} \cdot y^{-0{,}3} & & \text{simplificando o expoente} \end{aligned}\]

Passo 2: calcular a TMS.

\[\begin{aligned} TMS &= \frac{U_x}{U_y} \\[6pt] &= \frac{0{,}3 \cdot x^{-0{,}7} \cdot y^{0{,}7}}{0{,}7 \cdot x^{0{,}3} \cdot y^{-0{,}3}} \\[6pt] &= \frac{0{,}3}{0{,}7} \cdot \frac{x^{-0{,}7}}{x^{0{,}3}} \cdot \frac{y^{0{,}7}}{y^{-0{,}3}} & & \text{separando os termos} \\[6pt] &= \frac{0{,}3}{0{,}7} \cdot x^{-0{,}7 - 0{,}3} \cdot y^{0{,}7 - (-0{,}3)} & & \text{regra dos expoentes: } a^m/a^n = a^{m-n} \\[6pt] &= \frac{0{,}3}{0{,}7} \cdot x^{-1} \cdot y^{1} \\[6pt] &= \frac{0{,}3}{0{,}7} \cdot \frac{y}{x} = \frac{3}{7} \cdot \frac{y}{x} \end{aligned}\]

Passo 3: avaliar nos dois pontos.

Ponto \(x\) \(y\) \(y/x\) \(TMS = \frac{3}{7} \cdot \frac{y}{x}\) Interpretação
\((2, 8)\) 2 8 \(8/2 = 4\) \(\frac{3}{7} \cdot 4 = \frac{12}{7} \approx 1{,}71\) Disposto a dar 1,71 de \(y\) por 1 de \(x\)
\((8, 2)\) 8 2 \(2/8 = 0{,}25\) \(\frac{3}{7} \cdot 0{,}25 = \frac{3}{28} \approx 0{,}11\) Disposto a dar apenas 0,11 de \(y\) por 1 de \(x\)

Passo 4: interpretar.

A TMS cai de \(1{,}71\) para \(0{,}11\): à medida que \(x\) aumenta e \(y\) diminui, a disposição a trocar \(y\) por \(x\) diminui drasticamente (TMS decrescente).

No exemplo anterior (\(U = \sqrt{xy}\), com \(\alpha = \beta = 0{,}5\)), a TMS era simplesmente \(y/x\). Aqui, com \(\alpha = 0{,}3\) e \(\beta = 0{,}7\), a TMS é \(\frac{3}{7} \cdot \frac{y}{x}\). O fator \(\alpha/\beta = 3/7 < 1\) reduz a TMS em relação ao caso simétrico.

Por que isso acontece? Como \(\beta > \alpha\), o bem \(y\) contribui mais para a utilidade do consumidor. Ele valoriza relativamente mais cada unidade de \(y\), e portanto exige menos compensação em \(y\) para aceitar uma unidade adicional de \(x\). Na cesta \((2, 8)\), por exemplo, a TMS é \(1{,}71\) (em vez de \(8/2 = 4\) no caso simétrico): o consumidor tem bastante \(y\) e pouco \(x\), mas como \(y\) é o bem mais importante para ele, não está tão disposto a trocá-lo.

Símbolo Significado
\(U^*(x,y)\) transformação monotônica de \(U\) (preserva a ordenação e simplifica o cálculo)
\(U_{xx} = \partial^2 U / \partial x^2\) derivada segunda de \(U\) em relação a \(x\) (como a utilidade marginal varia)
\(U_{xy} = \partial^2 U / \partial x \partial y\) derivada cruzada (como \(U_x\) muda quando \(y\) varia)

Desenvolvimento Teórico

A ideia intuitiva de que consumidores preferem cestas balanceadas pode ser formalizada usando o conceito matemático de convexidade.

Definição de conjunto convexo: um conjunto de pontos é convexo se, para quaisquer dois pontos pertencentes ao conjunto, o segmento de reta que os une está inteiramente contido no conjunto.

Equivalência fundamental: as seguintes condições são equivalentes:

  • TMS é decrescente ao longo da curva de indiferença
  • O conjunto “pelo menos tão bom quanto” \(\{(x,y) : U(x,y) \geq k\}\) é convexo
  • A função de utilidade é quase-côncava

Consequência econômica: cestas balanceadas são preferidas a cestas extremas. Se o consumidor é indiferente entre \((x_1, y_1)\) e \((x_2, y_2)\), então a média \(\left(\frac{x_1+x_2}{2}, \frac{y_1+y_2}{2}\right)\) é estritamente preferida (no caso de convexidade estrita) (Nicholson e Snyder, 2018).

O papel da derivada segunda. A derivada segunda \(U_{xx} = \partial^2 U / \partial x^2\) mede como a utilidade marginal de \(x\) varia conforme o consumo de \(x\) aumenta:

  • Se \(U_{xx} < 0\): a utilidade marginal é decrescente. Cada unidade adicional de \(x\) acrescenta menos utilidade que a anterior. A função de utilidade cresce, mas cada vez mais devagar (é côncava em \(x\)).
  • Se \(U_{xx} > 0\): a utilidade marginal é crescente. Cada unidade adicional vale mais que a anterior (convexidade em \(x\), situação atípica para bens de consumo).

Exemplo visual: derivadas de primeira e segunda ordem

Considere duas funções de uma variável para ilustrar o papel das derivadas:

\(f(x) = \sqrt{x} = x^{1/2}\) (côncava) \(g(x) = x^2\) (convexa)
Função cresce, mas cada vez mais devagar cresce, cada vez mais rápido
1ª derivada \(f'(x) = \frac{1}{2}x^{-1/2}\): positiva e decrescente \(g'(x) = 2x\): positiva e crescente
2ª derivada \(f''(x) = -\frac{1}{4}x^{-3/2} < 0\) \(g''(x) = 2 > 0\)
Interpretação utilidade marginal decrescente (caso típico) utilidade marginal crescente (caso atípico)
Código
suppressPackageStartupMessages({
  library(ggplot2)
  library(patchwork)
  library(latex2exp)
})

tema <- theme_minimal(base_size = 16) +
  theme(
    axis.line = element_line(color = "black", linewidth = 0.5),
    panel.grid.major = element_line(color = "gray90"),
    panel.grid.minor = element_blank(),
    plot.title = element_text(size = 16, face = "bold"),
    legend.text = element_text(size = 14),
    axis.title = element_text(size = 14),
    axis.text = element_text(size = 12)
  )

x_vals <- seq(0.1, 6, length.out = 200)

# Painel 1: f(x) = sqrt(x) — côncava
df_conc <- data.frame(
  x = rep(x_vals, 3),
  y = c(sqrt(x_vals), 0.5 * x_vals^(-0.5), -0.25 * x_vals^(-1.5)),
  tipo = rep(c("f(x) = sqrt(x)", "f'(x) = 1/(2*sqrt(x))", "f''(x) = -1/(4*x^(3/2))"), each = length(x_vals))
)
df_conc$tipo <- factor(df_conc$tipo, levels = c("f(x) = sqrt(x)", "f'(x) = 1/(2*sqrt(x))", "f''(x) = -1/(4*x^(3/2))"))

p1 <- ggplot(df_conc, aes(x = x, y = y, color = tipo)) +
  geom_line(linewidth = 1) +
  geom_hline(yintercept = 0, linetype = "dashed", color = "gray50") +
  scale_color_manual(
    values = c("#2c7bb6", "#1a9641", "#d7191c"),
    labels = c(
      TeX(r"($f(x) = \sqrt{x}$)"),
      TeX(r"($f'(x) = \frac{1}{2\sqrt{x}}$)"),
      TeX(r"($f''(x) = -\frac{1}{4x^{3/2}}$)")
    )
  ) +
  scale_x_continuous(expand = c(0, 0), limits = c(0, 6.5)) +
  scale_y_continuous(limits = c(-1.5, 3)) +
  labs(
    title = TeX(r"($f(x) = \sqrt{x}$: côncava $(f'' < 0)$)"),
    x = "x", y = "", color = NULL
  ) +
  tema +
  theme(legend.position = "bottom")

# Painel 2: g(x) = x^2 — convexa
df_conv <- data.frame(
  x = rep(x_vals, 3),
  y = c(x_vals^2 / 10, 2 * x_vals / 10, rep(2/10, length(x_vals))),
  tipo = rep(c("g(x) = x^2", "g'(x) = 2x", "g''(x) = 2"), each = length(x_vals))
)
df_conv$tipo <- factor(df_conv$tipo, levels = c("g(x) = x^2", "g'(x) = 2x", "g''(x) = 2"))

p2 <- ggplot(df_conv, aes(x = x, y = y, color = tipo)) +
  geom_line(linewidth = 1) +
  geom_hline(yintercept = 0, linetype = "dashed", color = "gray50") +
  scale_color_manual(
    values = c("#2c7bb6", "#1a9641", "#d7191c"),
    labels = c(
      TeX(r"($g(x) = x^2$)"),
      TeX(r"($g'(x) = 2x$)"),
      TeX(r"($g''(x) = 2$)")
    )
  ) +
  scale_x_continuous(expand = c(0, 0), limits = c(0, 6.5)) +
  scale_y_continuous(limits = c(-1.5, 3)) +
  labs(
    title = TeX(r"($g(x) = x^2$: convexa $(g'' > 0)$)"),
    x = "x", y = "", color = NULL
  ) +
  tema +
  theme(legend.position = "bottom")

p1 + p2

No painel esquerdo (\(f'' < 0\)): a função \(\sqrt{x}\) cresce, mas a derivada primeira (verde) diminui, e a derivada segunda (vermelha) é sempre negativa. Isso é o padrão da utilidade marginal decrescente: como a água, os primeiros litros são valiosos, mas cada litro adicional acrescenta menos.

No painel direito (\(g'' > 0\)): a função \(x^2\) cresce cada vez mais rápido, a derivada primeira (verde) é crescente, e a derivada segunda (vermelha) é sempre positiva. Este padrão é atípico para bens de consumo.

No entanto, \(U_{xx} < 0\) sozinho não garante que as curvas de indiferença sejam convexas. A convexidade das curvas depende de como a TMS muda ao longo da curva, o que envolve a interação entre três derivadas segundas: \(U_{xx}\), \(U_{yy}\) e \(U_{xy}\). A derivada cruzada \(U_{xy}\) captura a complementaridade entre os bens: se ter mais \(y\) aumenta (\(U_{xy} > 0\)) ou diminui (\(U_{xy} < 0\)) o valor marginal de \(x\). A condição formal será apresentada na seção avançada mais adiante.

Formalização Matemática

Baseada em Nicholson Example 3.2 (Nicholson e Snyder, 2012). Verificar convexidade para 3 funções usando a TMS (\(TMS = U_x/U_y\)). A estratégia: se a TMS é decrescente ao longo da curva, as curvas são convexas.

Função 1: \(U(x,y) = \sqrt{x \cdot y} = (xy)^{1/2}\)

Atalho: aplicar a transformação logarítmica \(U^* = \ln U\) (preserva a ordenação, pois \(\ln\) é crescente):

\[\begin{aligned} U^*(x,y) &= \ln(xy)^{1/2} & & \text{aplicando } \ln \\[6pt] &= \frac{1}{2}\ln(xy) & & \text{propriedade: } \ln a^n = n \ln a \\[6pt] &= \frac{1}{2}\ln x + \frac{1}{2}\ln y & & \text{propriedade: } \ln(ab) = \ln a + \ln b \end{aligned}\]

Utilidades marginais de \(U^*\):

\[\begin{aligned} U^*_x &= \frac{\partial}{\partial x}\left(\frac{1}{2}\ln x + \frac{1}{2}\ln y\right) = \frac{1}{2x} & & \text{derivada de } \ln x \text{ é } 1/x \\[6pt] U^*_y &= \frac{\partial}{\partial y}\left(\frac{1}{2}\ln x + \frac{1}{2}\ln y\right) = \frac{1}{2y} & & \text{derivada de } \ln y \text{ é } 1/y \end{aligned}\]

TMS:

\[\begin{aligned} TMS &= \frac{U^*_x}{U^*_y} \\[6pt] &= \frac{1/(2x)}{1/(2y)} \\[6pt] &= \frac{1}{2x} \cdot \frac{2y}{1} & & \text{dividir por fração = multiplicar pelo inverso} \\[6pt] &= \frac{y}{x} \end{aligned}\]

Conforme \(x\) aumenta e \(y\) diminui ao longo da curva, a razão \(y/x\) diminui: TMS decrescente, curvas convexas

Função 2: \(U(x,y) = x + xy + y\)

\[\begin{aligned} U_x &= \frac{\partial}{\partial x}(x + xy + y) = 1 + y & & \text{derivada de } x \text{ é } 1\text{, de } xy \text{ é } y\text{, de } y \text{ é } 0 \\[6pt] U_y &= \frac{\partial}{\partial y}(x + xy + y) = x + 1 & & \text{derivada de } x \text{ é } 0\text{, de } xy \text{ é } x\text{, de } y \text{ é } 1 \end{aligned}\]

\[TMS = \frac{U_x}{U_y} = \frac{1+y}{1+x}\]

Conforme \(x\) aumenta e \(y\) diminui ao longo da curva: o numerador \(1+y\) diminui, o denominador \(1+x\) aumenta, logo a fração diminui: TMS decrescente, curvas convexas

Função 3: \(U(x,y) = \sqrt{x^2 + y^2} = (x^2 + y^2)^{1/2}\)

Aplicar transformação monotônica \(U^* = U^2 = x^2 + y^2\) (equação de um quarto de círculo):

\[\begin{aligned} U^*_x &= \frac{\partial}{\partial x}(x^2 + y^2) = 2x & & \text{derivada de } x^2 \text{ é } 2x \\[6pt] U^*_y &= \frac{\partial}{\partial y}(x^2 + y^2) = 2y & & \text{derivada de } y^2 \text{ é } 2y \end{aligned}\]

\[TMS = \frac{U^*_x}{U^*_y} = \frac{2x}{2y} = \frac{x}{y}\]

Conforme \(x\) aumenta e \(y\) diminui: a razão \(x/y\) aumenta (TMS crescente): curvas côncavas, não convexas

Sentido econômico: esta função representa um consumidor que prefere extremos, não variedade (ele prefere ter muito de um bem e nada do outro). Na prática, este tipo de preferência é raro para bens de consumo.

Condição formal de quase-concavidade (nota avançada)

Para \(U(x,y)\), a condição de quase-concavidade é:

\[U_{xx}U_y^2 - 2U_{xy}U_xU_y + U_{yy}U_x^2 < 0\]

Verificação para \(U^* = \frac{1}{2}\ln x + \frac{1}{2}\ln y\):

Passo 1: derivadas primeiras (já calculadas acima):

\[U^*_x = \frac{1}{2x}, \qquad U^*_y = \frac{1}{2y}\]

Passo 2: derivadas segundas:

\[\begin{aligned} U^*_{xx} &= \frac{\partial}{\partial x}\left(\frac{1}{2x}\right) = \frac{\partial}{\partial x}\left(\frac{1}{2} x^{-1}\right) = -\frac{1}{2}x^{-2} = -\frac{1}{2x^2} \\[6pt] U^*_{yy} &= \frac{\partial}{\partial y}\left(\frac{1}{2y}\right) = -\frac{1}{2y^2} & & \text{mesma lógica} \\[6pt] U^*_{xy} &= \frac{\partial}{\partial y}\left(\frac{1}{2x}\right) = 0 & & \text{não depende de } y \end{aligned}\]

Passo 3: substituir na condição:

\[\begin{aligned} & U^*_{xx}(U^*_y)^2 - 2U^*_{xy}U^*_xU^*_y + U^*_{yy}(U^*_x)^2 \\[6pt] &= \left(-\frac{1}{2x^2}\right)\left(\frac{1}{2y}\right)^2 - 2(0)\left(\frac{1}{2x}\right)\left(\frac{1}{2y}\right) + \left(-\frac{1}{2y^2}\right)\left(\frac{1}{2x}\right)^2 \\[6pt] &= -\frac{1}{2x^2} \cdot \frac{1}{4y^2} - 0 + \left(-\frac{1}{2y^2}\right) \cdot \frac{1}{4x^2} & & \text{elevando ao quadrado} \\[6pt] &= -\frac{1}{8x^2 y^2} - \frac{1}{8x^2 y^2} \\[6pt] &= -\frac{2}{8x^2 y^2} = -\frac{1}{4x^2 y^2} < 0 \quad \checkmark \end{aligned}\]

Como o resultado é negativo para todo \((x, y) > 0\), a função é quase-côncava e as curvas de indiferença são convexas.

O paradoxo da água e do diamante. O conceito de utilidade marginal decrescente (\(U_{xx} < 0\)) tem raízes históricas no chamado paradoxo da água e do diamante (Nicholson e Snyder, 2018). A água é essencial para a vida: sua utilidade total é enorme. Mas, como é abundante, a utilidade marginal do último copo de água é baixa (o consumidor já está saciado). O diamante, por outro lado, tem utilidade total menor, mas como é escasso, sua utilidade marginal é alta. O preço reflete a utilidade marginal, não a total.

Em termos formais, \(U_{xx} < 0\) significa que a derivada segunda é negativa: a utilidade marginal \(U_x\) diminui conforme \(x\) aumenta. Graficamente, a função de utilidade cresce, mas cada vez mais devagar (côncava). Para a água: os primeiros litros diários são vitais (\(U_x\) alto), mas a partir de certo ponto cada litro adicional acrescenta muito pouco (\(U_x\) próximo de zero).

Nota importante: utilidade marginal decrescente (\(U_{xx} < 0\)) não é suficiente para garantir TMS decrescente. A condição de quase-concavidade envolve também a derivada cruzada \(U_{xy}\). A Função 3 acima tem \(U^*_{xx} = 2 > 0\) (utilidade marginal crescente), o que contribui para a TMS crescente e a concavidade.

Exercício Resolvido

Baseado em Nicholson, Problem 3.1 (Nicholson e Snyder, 2012). Verificar convexidade de \(U(x,y) = x^{0{,}6}y^{0{,}4}\) (Cobb-Douglas com \(\alpha \neq \beta\)).

Passo 1: calcular as utilidades marginais.

\[\begin{aligned} U_x &= \frac{\partial}{\partial x}(x^{0{,}6} y^{0{,}4}) & & \text{derivar em relação a } x \\[6pt] &= 0{,}6 \cdot x^{0{,}6-1} \cdot y^{0{,}4} & & \text{regra da potência} \\[6pt] &= 0{,}6 \cdot x^{-0{,}4} \cdot y^{0{,}4} \end{aligned}\]


\[\begin{aligned} U_y &= \frac{\partial}{\partial y}(x^{0{,}6} y^{0{,}4}) & & \text{derivar em relação a } y \\[6pt] &= 0{,}4 \cdot x^{0{,}6} \cdot y^{0{,}4-1} & & \text{regra da potência} \\[6pt] &= 0{,}4 \cdot x^{0{,}6} \cdot y^{-0{,}6} \end{aligned}\]

Passo 2: calcular a TMS.

\[\begin{aligned} TMS &= \frac{U_x}{U_y} \\[6pt] &= \frac{0{,}6 \cdot x^{-0{,}4} \cdot y^{0{,}4}}{0{,}4 \cdot x^{0{,}6} \cdot y^{-0{,}6}} \\[6pt] &= \frac{0{,}6}{0{,}4} \cdot \frac{x^{-0{,}4}}{x^{0{,}6}} \cdot \frac{y^{0{,}4}}{y^{-0{,}6}} & & \text{separando os termos} \\[6pt] &= 1{,}5 \cdot x^{-0{,}4-0{,}6} \cdot y^{0{,}4-(-0{,}6)} & & \text{regra: } a^m/a^n = a^{m-n} \\[6pt] &= 1{,}5 \cdot x^{-1} \cdot y^{1} \\[6pt] &= 1{,}5 \cdot \frac{y}{x} \end{aligned}\]

Passo 3: verificar que a TMS é decrescente.

Ao longo da curva de indiferença, a utilidade é constante (\(U = k\)). Se \(x\) aumenta, \(y\) deve diminuir para compensar (inclinação negativa da curva). O que acontece com \(TMS = 1{,}5 \cdot (y/x)\)?

  • \(x\) aumenta: o denominador \(x\) cresce
  • \(y\) diminui: o numerador \(y\) cai
  • Efeito combinado: a razão \(y/x\) diminui por dois motivos simultâneos (numerador cai e denominador cresce)
  • Como \(1{,}5\) é uma constante positiva, \(TMS = 1{,}5 \cdot (y/x)\) também diminui ✓

A TMS é decrescente, confirmando que as curvas de indiferença são convexas.

Passo 4: verificar com exemplo numérico.

Se as curvas são convexas, o ponto médio entre duas cestas indiferentes deve ter utilidade maior. Vamos verificar.

Como \(U(x,y) = x^{0{,}6}y^{0{,}4}\), a curva de indiferença \(U = 5\) é o conjunto de cestas que satisfazem:

\[x^{0{,}6} \cdot y^{0{,}4} = 5\]

Precisamos encontrar duas cestas sobre essa curva (ambas com utilidade 5) e verificar se o ponto médio entre elas tem utilidade maior que 5.

4a) Confirmar que \((5, 5)\) está na curva \(U = 5\):

\[\begin{aligned} U(5, 5) &= 5^{0{,}6} \cdot 5^{0{,}4} & & \text{substituindo } x = 5, \; y = 5 \\[6pt] &= 5^{0{,}6 + 0{,}4} & & \text{regra: } a^m \cdot a^n = a^{m+n} \\[6pt] &= 5^1 = 5 \quad \checkmark \end{aligned}\]

4b) Encontrar outro ponto na mesma curva. Se \(x = 10\), qual \(y\) mantém \(U = 5\)?

\[\begin{aligned} 10^{0{,}6} \cdot y^{0{,}4} &= 5 & & \text{condição da curva} \\[6pt] y^{0{,}4} &= \frac{5}{10^{0{,}6}} & & \text{isolando } y^{0{,}4} \\[6pt] &= \frac{5}{3{,}981} & & \text{calculando } 10^{0{,}6} \approx 3{,}981 \\[6pt] &= 1{,}256 \\[6pt] y &= 1{,}256^{1/0{,}4} & & \text{elevando ambos os lados a } 1/0{,}4 = 2{,}5 \\[6pt] &= 1{,}256^{2{,}5} \approx 1{,}77 \end{aligned}\]

Portanto \((10;\; 1{,}77)\) também está na curva \(U = 5\).

4c) Calcular o ponto médio entre as duas cestas:

\[\begin{aligned} \bar{x} &= \frac{5 + 10}{2} = 7{,}5 \\[6pt] \bar{y} &= \frac{5 + 1{,}77}{2} = 3{,}385 \end{aligned}\]

4d) Verificar se o ponto médio tem utilidade maior que 5:

\[\begin{aligned} U(7{,}5;\; 3{,}385) &= 7{,}5^{0{,}6} \cdot 3{,}385^{0{,}4} & & \text{substituindo na função} \\[6pt] &\approx 3{,}344 \times 1{,}586 & & \text{calculando cada potência} \\[6pt] &\approx 5{,}30 > 5 \quad \checkmark \end{aligned}\]

Cesta \(x\) \(y\) \(U = x^{0{,}6}y^{0{,}4}\) Posição
Ponto 1 5 5 5 sobre a curva \(U = 5\)
Ponto 2 10 1,77 5 sobre a curva \(U = 5\)
Ponto médio 7,5 3,385 5,30 acima da curva (preferido)

A cesta balanceada \((7{,}5;\; 3{,}385)\) proporciona utilidade \(5{,}30\), maior que \(U = 5\) das cestas originais. Convexidade confirmada: o consumidor prefere a combinação intermediária às cestas extremas.

Implementação em R

Código
suppressPackageStartupMessages({
  library(ggplot2)
  library(latex2exp)
  library(patchwork)
})

# Painel 1: U = sqrt(xy), convexa
# Curvas: y = k^2 / x, para k = 4, 6, 8
cores_ci <- c("#2c7bb6", "#1a9641", "#d7191c")

p1 <- ggplot2::ggplot() +
  ggplot2::geom_function(
    fun = \(x) 4^2 / x, xlim = c(0.5, 15),
    color = cores_ci[1], linewidth = 1.0
  ) +
  ggplot2::geom_function(
    fun = \(x) 6^2 / x, xlim = c(0.5, 15),
    color = cores_ci[2], linewidth = 1.0
  ) +
  ggplot2::geom_function(
    fun = \(x) 8^2 / x, xlim = c(0.5, 15),
    color = cores_ci[3], linewidth = 1.0
  ) +
  ggplot2::annotate("text", x = 14, y = 4^2 / 14 + 0.6,
    label = latex2exp::TeX(r"($k=4$)"), color = cores_ci[1], size = 3.5) +
  ggplot2::annotate("text", x = 14, y = 6^2 / 14 + 0.6,
    label = latex2exp::TeX(r"($k=6$)"), color = cores_ci[2], size = 3.5) +
  ggplot2::annotate("text", x = 14, y = 8^2 / 14 + 0.6,
    label = latex2exp::TeX(r"($k=8$)"), color = cores_ci[3], size = 3.5) +
  ggplot2::scale_x_continuous(expand = c(0, 0), limits = c(0, 15.5)) +
  ggplot2::scale_y_continuous(expand = c(0, 0), limits = c(0, 15)) +
  ggplot2::labs(
    title = latex2exp::TeX(r"($U = \sqrt{xy}$ (convexa))"),
    x = latex2exp::TeX(r"($x$)"),
    y = latex2exp::TeX(r"($y$)")
  ) +
  ggplot2::theme_minimal() +
  ggplot2::theme(
    axis.line        = ggplot2::element_line(color = "black", linewidth = 0.5),
    panel.grid.major = ggplot2::element_line(color = "gray90"),
    panel.grid.minor = ggplot2::element_blank()
  )

# Painel 2: U = x + xy + y, convexa
# y = (k - x) / (1 + x)
p2 <- ggplot2::ggplot() +
  ggplot2::geom_function(
    fun = \(x) (5 - x) / (1 + x),
    xlim = c(0, 4.9),
    color = cores_ci[1], linewidth = 1.0
  ) +
  ggplot2::geom_function(
    fun = \(x) (10 - x) / (1 + x),
    xlim = c(0, 9.9),
    color = cores_ci[2], linewidth = 1.0
  ) +
  ggplot2::geom_function(
    fun = \(x) (15 - x) / (1 + x),
    xlim = c(0, 12),
    color = cores_ci[3], linewidth = 1.0
  ) +
  ggplot2::annotate("text", x = 3.5, y = (5 - 3.5) / (1 + 3.5) + 0.5,
    label = latex2exp::TeX(r"($k=5$)"), color = cores_ci[1], size = 3.5) +
  ggplot2::annotate("text", x = 7, y = (10 - 8) / (1 + 8) + 0.5,
    label = latex2exp::TeX(r"($k=10$)"), color = cores_ci[2], size = 3.5) +
  ggplot2::annotate("text", x = 11, y = (15 - 11) / (1 + 11) + 0.5,
    label = latex2exp::TeX(r"($k=15$)"), color = cores_ci[3], size = 3.5) +
  ggplot2::scale_x_continuous(expand = c(0, 0), limits = c(0, 12.5)) +
  ggplot2::scale_y_continuous(expand = c(0, 0), limits = c(0, 12)) +
  ggplot2::labs(
    title = latex2exp::TeX(r"($U = x + xy + y$ (convexa))"),
    x = latex2exp::TeX(r"($x$)"),
    y = latex2exp::TeX(r"($y$)")
  ) +
  ggplot2::theme_minimal() +
  ggplot2::theme(
    axis.line        = ggplot2::element_line(color = "black", linewidth = 0.5),
    panel.grid.major = ggplot2::element_line(color = "gray90"),
    panel.grid.minor = ggplot2::element_blank()
  )

# Painel 3: U = sqrt(x^2 + y^2), côncava
# y = sqrt(k^2 - x^2), primeiro quadrante
p3 <- ggplot2::ggplot() +
  ggplot2::geom_function(
    fun = \(x) sqrt(4^2 - x^2),
    xlim = c(0, 4),
    color = cores_ci[1], linewidth = 1.0
  ) +
  ggplot2::geom_function(
    fun = \(x) sqrt(6^2 - x^2),
    xlim = c(0, 6),
    color = cores_ci[2], linewidth = 1.0
  ) +
  ggplot2::geom_function(
    fun = \(x) sqrt(8^2 - x^2),
    xlim = c(0, 8),
    color = cores_ci[3], linewidth = 1.0
  ) +
  ggplot2::annotate("text", x = 4, y = sqrt(4^2 - 3.5^2) + 0.4,
    label = latex2exp::TeX(r"($k=4$)"), color = cores_ci[1], size = 3.5) +
  ggplot2::annotate("text", x = 6, y = sqrt(6^2 - 5.3^2) + 0.4,
    label = latex2exp::TeX(r"($k=6$)"), color = cores_ci[2], size = 3.5) +
  ggplot2::annotate("text", x = 8, y = sqrt(8^2 - 7.1^2) + 0.4,
    label = latex2exp::TeX(r"($k=8$)"), color = cores_ci[3], size = 3.5) +
  ggplot2::scale_x_continuous(expand = c(0, 0), limits = c(0, 10)) +
  ggplot2::scale_y_continuous(expand = c(0, 0), limits = c(0, 10)) +
  ggplot2::labs(
    title = latex2exp::TeX(r"($U = \sqrt{x^2+y^2}$ (côncava))"),
    x = latex2exp::TeX(r"($x$)"),
    y = latex2exp::TeX(r"($y$)")
  ) +
  ggplot2::theme_minimal() +
  ggplot2::theme(
    axis.line        = ggplot2::element_line(color = "black", linewidth = 0.5),
    panel.grid.major = ggplot2::element_line(color = "gray90"),
    panel.grid.minor = ggplot2::element_blank()
  )

p1 + p2 + p3 + patchwork::plot_layout(ncol = 3)

Interpretação

A convexidade é empiricamente plausível para a grande maioria dos bens de consumo: consumidores preferem cestas diversificadas. Exceções podem ocorrer em situações de especialização (por exemplo, um trabalhador que se beneficia mais de investir todo o seu tempo em uma única habilidade), mas são raras no contexto de consumo.

A condição matemática de quase-concavidade é menos restritiva do que a concavidade: permite que a função de utilidade tenha utilidade marginal crescente, desde que a TMS seja decrescente. (Nicholson e Snyder, 2018)

Parte 1: Cobb-Douglas

Desenvolvimento Teórico

A função Cobb-Douglas foi proposta por Charles Cobb e Paul Douglas em 1928 originalmente para modelar funções de produção, e posteriormente adotada na teoria do consumidor. A forma geral é:

\[U(x,y) = x^\alpha y^\beta, \quad \alpha, \beta > 0\]

Como a utilidade é ordinal, podemos aplicar transformações monotônicas sem alterar as preferências. Uma simplificação útil é normalizar os expoentes para que somem 1. Considere \(U = x^3 y^2\) (\(\alpha = 3\), \(\beta = 2\)). Elevando \(U\) à potência \(1/(\alpha + \beta) = 1/(2+3) = 1/5\):

\[\begin{aligned} V &= U^{1/5} = (x^3 y^2)^{1/5} & & \text{transformação monotônica (} f(U) = U^{1/5} \text{, } f' > 0 \text{)} \\[6pt] &= x^{3/5} \cdot y^{2/5} & & \text{regra: } (a^m b^n)^k = a^{mk} b^{nk} \\[6pt] &= x^{0{,}6} \cdot y^{0{,}4} & & \text{expoentes somam } 0{,}6 + 0{,}4 = 1 \end{aligned}\]

O parâmetro \(\delta\) é o peso relativo do bem \(x\) na função de utilidade, e \(1-\delta\) é o peso de \(y\):

\(\delta\) \(1-\delta\) Interpretação
\(0{,}5\) \(0{,}5\) Bens igualmente importantes (caso simétrico)
\(0{,}6\) \(0{,}4\) Bem \(x\) é mais valorizado que \(y\)
\(0{,}9\) \(0{,}1\) Bem \(x\) é muito mais importante que \(y\)

A forma normalizada \(V = x^\delta y^{1-\delta}\) representa as mesmas preferências que \(U = x^\alpha y^\beta\), com a vantagem de que os expoentes somam 1 e têm interpretação direta: no capítulo de maximização de utilidade, será demonstrado que o consumidor dedica uma fração \(\delta\) do seu gasto ao bem \(x\) e uma fração \(1-\delta\) ao bem \(y\) (Nicholson e Snyder, 2018).

Formalização Matemática

Utilidades marginais (derivar \(U = x^\alpha y^\beta\) tratando o outro bem como constante):

\[\begin{aligned} U_x &= \frac{\partial}{\partial x}(x^\alpha y^\beta) & & \text{derivar em relação a } x\text{, } y \text{ constante} \\[6pt] &= \alpha x^{\alpha-1} \cdot y^\beta & & \text{regra da potência: } \frac{d}{dx}x^\alpha = \alpha x^{\alpha-1} \end{aligned}\]


\[\begin{aligned} U_y &= \frac{\partial}{\partial y}(x^\alpha y^\beta) & & \text{derivar em relação a } y\text{, } x \text{ constante} \\[6pt] &= \beta x^\alpha \cdot y^{\beta-1} & & \text{regra da potência} \end{aligned}\]

Taxa marginal de substituição:

\[\begin{aligned} TMS &= \frac{U_x}{U_y} \\[6pt] &= \frac{\alpha x^{\alpha-1} y^\beta}{\beta x^\alpha y^{\beta-1}} \\[6pt] &= \frac{\alpha}{\beta} \cdot \frac{x^{\alpha-1}}{x^\alpha} \cdot \frac{y^\beta}{y^{\beta-1}} & & \text{separando os termos} \\[6pt] &= \frac{\alpha}{\beta} \cdot x^{-1} \cdot y^{1} & & \text{regra: } a^m/a^n = a^{m-n} \\[6pt] &= \frac{\alpha}{\beta} \cdot \frac{y}{x} \end{aligned}\]

A TMS depende apenas da razão \(y/x\), o que caracteriza preferências homotéticas.

Curva de indiferença implícita:

\[\begin{aligned} x^\alpha y^\beta &= k & & \text{nível de utilidade constante} \\[6pt] y^\beta &= k \cdot x^{-\alpha} & & \text{isolando } y^\beta \\[6pt] y &= k^{1/\beta} \cdot x^{-\alpha/\beta} & & \text{elevando a } 1/\beta \end{aligned}\]

Exemplo numérico: \(U = x^{0{,}2}y^{0{,}8}\), com \(\alpha = 0{,}2\) e \(\beta = 0{,}8\):

\[TMS = \frac{0{,}2}{0{,}8} \cdot \frac{y}{x} = \frac{1}{4} \cdot \frac{y}{x} = \frac{y}{4x}\]

Note que a TMS não é simplesmente \(y/x\): o fator \(\alpha/\beta = 1/4\) reflete que o consumidor valoriza \(y\) quatro vezes mais que \(x\) (\(\beta/\alpha = 0{,}8/0{,}2 = 4\)). Isso reduz sua disposição a trocar \(y\) por \(x\).

Avaliando em dois pontos sobre a curva de indiferença \(U \approx 8\) (ou seja, \(x^{0{,}2} y^{0{,}8} \approx 8\)):

Ponto \(x\) \(y\) \(y/x\) \(TMS = y/(4x)\) Interpretação
A 5 9 \(9/5 = 1{,}8\) \(9/20 = 0{,}45\) Disposto a dar 0,45 de \(y\) por 1 de \(x\)
B 25 6 \(6/25 = 0{,}24\) \(6/100 = 0{,}06\) Disposto a dar apenas 0,06 de \(y\) por 1 de \(x\)

Comparação: se fosse \(\alpha = \beta = 0{,}5\) (caso simétrico), a TMS nos mesmos pontos seria \(y/x = 1{,}8\) e \(0{,}24\). Com \(\alpha < \beta\), a TMS é reduzida pelo fator \(1/4\): o consumidor valoriza mais o bem \(y\) e reluta em trocá-lo.

A TMS cai de 0,45 para 0,06: decrescente ao longo da curva, confirmando convexidade.

Código
suppressPackageStartupMessages({
  library(ggplot2)
  library(latex2exp)
})

# Curvas de indiferença Cobb-Douglas: U = x^0.2 * y^0.8 = k
# y = (k / x^0.2)^(1/0.8) = k^1.25 * x^(-0.25)
alpha <- 0.2
beta  <- 0.8
cores_cd <- c("#2c7bb6", "#1a9641", "#d7191c")
niveis   <- c(2, 4, 6)

# Função para calcular y dado k
ci <- function(x, k) (k / x^alpha)^(1/beta)

ggplot2::ggplot() +
  ggplot2::geom_function(
    fun = \(x) ci(x, niveis[1]),
    xlim = c(0.1, 28),
    color = cores_cd[1], linewidth = 1.1
  ) +
  ggplot2::geom_function(
    fun = \(x) ci(x, niveis[2]),
    xlim = c(0.1, 28),
    color = cores_cd[2], linewidth = 1.1
  ) +
  ggplot2::geom_function(
    fun = \(x) ci(x, niveis[3]),
    xlim = c(0.1, 28),
    color = cores_cd[3], linewidth = 1.1
  ) +
  ggplot2::annotate(
    "text", x = 27, y = ci(27, niveis[1]) + 0.3,
    label = latex2exp::TeX(r"($U = 2$)"),
    color = cores_cd[1], size = 4, hjust = 0.5
  ) +
  ggplot2::annotate(
    "text", x = 27, y = ci(27, niveis[2]) + 0.3,
    label = latex2exp::TeX(r"($U = 4$)"),
    color = cores_cd[2], size = 4, hjust = 0.5
  ) +
  ggplot2::annotate(
    "text", x = 27, y = ci(27, niveis[3]) + 0.3,
    label = latex2exp::TeX(r"($U = 6$)"),
    color = cores_cd[3], size = 4, hjust = 0.5
  ) +
  # Curva U = 8 (onde estão os pontos do exemplo)
  ggplot2::geom_function(
    fun = \(x) ci(x, 8),
    xlim = c(0.1, 28),
    color = "gray40", linewidth = 1.1, linetype = "dashed"
  ) +
  ggplot2::annotate(
    "text", x = 27, y = ci(27, 8) + 0.3,
    label = latex2exp::TeX(r"($U = 8$)"),
    color = "gray40", size = 4, hjust = 0.5
  ) +
  # Pontos do exemplo numérico na curva U ≈ 8
  # Ponto A: (5, 9), TMS = 9/20 = 0.45
  # Ponto B: (25, 6), TMS = 6/100 = 0.06
  ggplot2::geom_point(
    data = data.frame(x = c(5, 25), y = c(9, 6)),
    ggplot2::aes(x = x, y = y),
    size = 3, color = "black"
  ) +
  ggplot2::annotate("label", x = 5, y = 9,
    label = "A = (5, 9)\nTMS = 0,45",
    fill = "white", size = 3.5, hjust = -0.1) +
  ggplot2::annotate("label", x = 25, y = 6,
    label = "B = (25, 6)\nTMS = 0,06",
    fill = "white", size = 3.5, vjust = -0.5) +
  ggplot2::scale_x_continuous(expand = c(0, 0), limits = c(0, 30)) +
  ggplot2::scale_y_continuous(expand = c(0, 0), limits = c(0, 14)) +
  ggplot2::labs(
    title = latex2exp::TeX(r"(Curvas de indiferença: Cobb-Douglas ($U = x^{0{,}2} y^{0{,}8}$))"),
    x = latex2exp::TeX(r"(Quantidade de $x$)"),
    y = latex2exp::TeX(r"(Quantidade de $y$)")
  ) +
  ggplot2::theme_minimal() +
  ggplot2::theme(
    axis.line        = ggplot2::element_line(color = "black", linewidth = 0.5),
    panel.grid.major = ggplot2::element_line(color = "gray90"),
    panel.grid.minor = ggplot2::element_blank(),
    plot.title       = ggplot2::element_text(size = 13, margin = ggplot2::margin(b = 10))
  )


Parte 2: Substitutos perfeitos e complementos perfeitos

Substitutos perfeitos

Definição: \(U(x,y) = \alpha x + \beta y\), com \(\alpha, \beta > 0\).

Derivação da TMS:

\[\begin{aligned} U_x &= \frac{\partial}{\partial x}(\alpha x + \beta y) = \alpha & & \text{constante} \\[6pt] U_y &= \frac{\partial}{\partial y}(\alpha x + \beta y) = \beta & & \text{constante} \\[6pt] TMS &= \frac{U_x}{U_y} = \frac{\alpha}{\beta} & & \text{não depende de } x \text{ nem de } y \end{aligned}\]

A TMS é constante: o consumidor sempre está disposto a trocar na mesma proporção, independentemente da composição da cesta. As curvas de indiferença são retas paralelas com inclinação \(-\alpha/\beta\). Quando \(\alpha = \beta\), os bens são idênticos e \(TMS = 1\). Exemplos: gasolina de marcas diferentes, canetas azuis de fabricantes distintos.

Complementos perfeitos

Definição: \(U(x,y) = \min(\alpha x, \beta y)\), com \(\alpha, \beta > 0\).

A função \(\min\) não é diferenciável no vértice (onde \(\alpha x = \beta y\)), portanto a TMS não é definida nesse ponto. Fora do vértice:

  • Na parte vertical (\(\alpha x < \beta y\)): aumentar \(y\) não muda \(U\) (o mínimo é \(\alpha x\)), logo \(U_y = 0\) e \(TMS = \infty\)
  • Na parte horizontal (\(\alpha x > \beta y\)): aumentar \(x\) não muda \(U\) (o mínimo é \(\beta y\)), logo \(U_x = 0\) e \(TMS = 0\)

Os bens são consumidos em proporção fixa \(y/x = \alpha/\beta\): unidades excedentes de qualquer bem não geram utilidade adicional sem o aumento correspondente do outro (Nicholson e Snyder, 2018).

Exemplo: sapatos esquerdo e direito. Seja \(x\) = sapatos esquerdos e \(y\) = sapatos direitos, com \(U(x,y) = \min(x, y)\) (\(\alpha = \beta = 1\), proporção 1:1).

Cesta \(x\) (esquerdo) \(y\) (direito) \(U = \min(x, y)\) Pares utilizáveis
A 3 3 \(\min(3, 3) = 3\) 3 pares
B 5 3 \(\min(5, 3) = 3\) 3 pares (2 esquerdos sobrando)
C 3 1 \(\min(3, 1) = 1\) 1 par (2 esquerdos sobrando)
D 4 4 \(\min(4, 4) = 4\) 4 pares

As cestas A e B têm a mesma utilidade (\(U = 3\)): os 2 sapatos esquerdos extras da cesta B são inúteis sem os direitos correspondentes. Apenas a cesta D, com mais de ambos, é preferida.

Exemplo: café e creme. \(U(x,y) = \min(x, 8y)\), onde \(x\) = doses de café e \(y\) = unidades de creme. Proporção fixa: 8 cafés para cada 1 creme. Ter 16 cafés e 1 creme dá \(U = \min(16, 8) = 8\), a mesma utilidade que 8 cafés e 1 creme (\(U = \min(8, 8) = 8\)). Os 8 cafés extras não servem sem creme adicional (Perloff, 2022).


Tabela comparativa

Propriedade Substitutos perfeitos Complementos perfeitos
Função \(U = \alpha x + \beta y\) \(U = \min(\alpha x, \beta y)\)
TMS Constante: \(\alpha/\beta\) Indefinida no vértice
Curva de indiferença Reta Formato L
Escolha típica Solução de canto Vértice: \(y/x = \alpha/\beta\)
Exemplo Gasolina de marcas diferentes Café e creme
Código
suppressPackageStartupMessages({
  library(ggplot2)
  library(latex2exp)
  library(patchwork)
})

cores_sc <- c("#2c7bb6", "#1a9641", "#d7191c")

tema_sc <- theme_minimal(base_size = 16) +
  theme(
    axis.line = element_line(color = "black", linewidth = 0.5),
    panel.grid.major = element_line(color = "gray90"),
    panel.grid.minor = element_blank(),
    plot.title = element_text(size = 16, face = "bold"),
    axis.title = element_text(size = 14),
    axis.text = element_text(size = 12)
  )

# Painel 1: Substitutos perfeitos (alpha = beta = 1): y = k - x
p_subs <- ggplot2::ggplot() +
  ggplot2::geom_function(
    fun = \(x)  4 - x, xlim = c(0,  4),
    color = cores_sc[1], linewidth = 1.1
  ) +
  ggplot2::geom_function(
    fun = \(x)  8 - x, xlim = c(0,  8),
    color = cores_sc[2], linewidth = 1.1
  ) +
  ggplot2::geom_function(
    fun = \(x) 12 - x, xlim = c(0, 12),
    color = cores_sc[3], linewidth = 1.1
  ) +
  ggplot2::annotate(
    "text", x = 2, y = 4.5 - 2 + 0.6,
    label = latex2exp::TeX(r"($U = 4$)"),
    color = cores_sc[1], size = 5
  ) +
  ggplot2::annotate(
    "text", x = 4, y = 8.5 - 4 + 0.6,
    label = latex2exp::TeX(r"($U = 8$)"),
    color = cores_sc[2], size = 5
  ) +
  ggplot2::annotate(
    "text", x = 6, y = 12.5 - 6 + 0.6,
    label = latex2exp::TeX(r"($U = 12$)"),
    color = cores_sc[3], size = 5
  ) +
  ggplot2::scale_x_continuous(expand = c(0, 0), limits = c(0, 14)) +
  ggplot2::scale_y_continuous(expand = c(0, 0), limits = c(0, 14)) +
  ggplot2::labs(
    title = latex2exp::TeX(r"(Substitutos perfeitos: $U = \alpha x + \beta y$)"),
    x = latex2exp::TeX(r"($x$)"),
    y = latex2exp::TeX(r"($y$)")
  ) +
  tema_sc

# Painel 2: Complementos perfeitos (alpha = beta = 1): vértice em (k, k)
# Segmento horizontal: y = k, x de k até 14 (para a direita do vértice)
# Segmento vertical:   x = k, y de k até 14 (para cima do vértice)
niveis_cp <- c(2, 4, 6)

p_comp <- ggplot2::ggplot()

for (i in seq_along(niveis_cp)) {
  k <- niveis_cp[i]
  seg_h <- data.frame(x = c(k, 14), y = c(k, k))
  seg_v <- data.frame(x = c(k, k), y = c(k, 14))
  p_comp <- p_comp +
    ggplot2::geom_line(
      data = seg_h,
      ggplot2::aes(x = x, y = y),
      color = cores_sc[i], linewidth = 1.1
    ) +
    ggplot2::geom_line(
      data = seg_v,
      ggplot2::aes(x = x, y = y),
      color = cores_sc[i], linewidth = 1.1
    ) +
    ggplot2::geom_point(
      data = data.frame(x = k, y = k),
      ggplot2::aes(x = x, y = y),
      color = cores_sc[i], size = 2.5
    ) +
    ggplot2::annotate(
      "text", x = k + 0.4, y = k - 0.8,
      label = latex2exp::TeX(paste0(r"($U = )", k, r"($)")),
      color = cores_sc[i], size = 5, hjust = 0
    )
}

p_comp <- p_comp +
  ggplot2::scale_x_continuous(expand = c(0, 0), limits = c(0, 14)) +
  ggplot2::scale_y_continuous(expand = c(0, 0), limits = c(0, 14)) +
  ggplot2::labs(
    title = latex2exp::TeX(r"(Complementos perfeitos: $U = \min\left(\alpha x, \beta y\right)$)"),
    x = latex2exp::TeX(r"($x$)"),
    y = latex2exp::TeX(r"($y$)")
  ) +
  tema_sc

p_subs + p_comp


Parte 3: Função CES e a elasticidade de substituição

Desenvolvimento Teórico

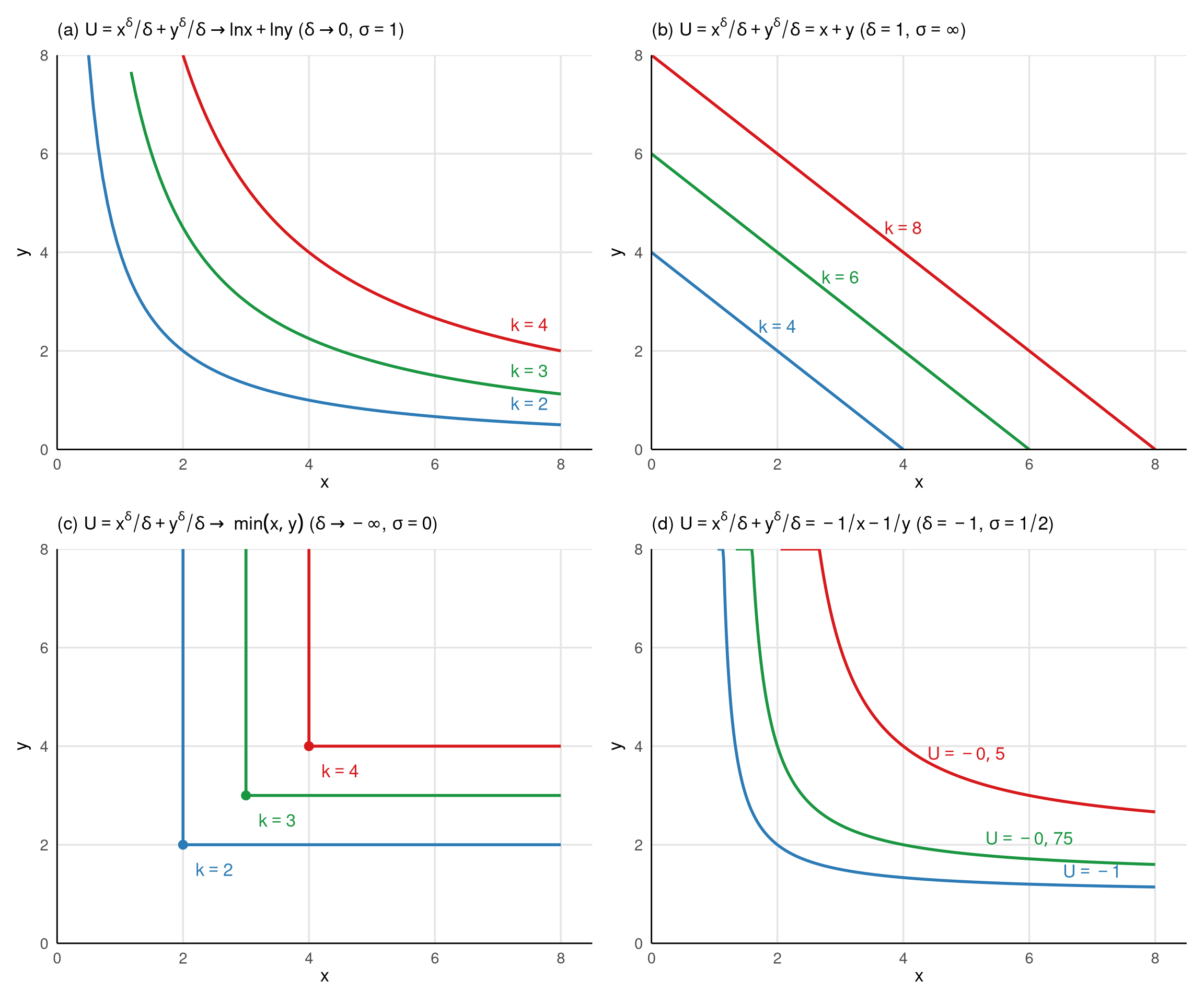
As funções de utilidade apresentadas até aqui (Cobb-Douglas hipérboles, substitutos perfeitos retas, complementos perfeitos L) têm formatos predefinidos para suas curvas de indiferença. Uma função que permite representar várias formas é a função de Elasticidade de Substituição Constante, ou CES (Constant Elasticity of Substitution). Variando um único parâmetro (\(\delta\)), a CES gera desde retas (substitutos perfeitos) até curvas em L (complementos perfeitos), passando pela hipérbole da Cobb-Douglas (Nicholson e Snyder, 2018). A forma geral é:

\[U(x,y) = \frac{x^\delta}{\delta} + \frac{y^\delta}{\delta}, \quad \delta \leq 1,\ \delta \neq 0\]

O parâmetro \(\delta\) determina o grau de substituibilidade entre os bens. Para entender a fórmula, vejamos o que acontece ao substituir diferentes valores de \(\delta\):

Caso \(\delta = 1\) (substitutos perfeitos):

\[\begin{aligned} U &= \frac{x^1}{1} + \frac{y^1}{1} & & \text{substituindo } \delta = 1 \\[6pt] &= x + y & & \text{substitutos perfeitos com } \alpha = \beta = 1 \end{aligned}\]

Utilidades marginais e TMS. Para \(U = x + y\):

\[\begin{aligned} U_x &= \frac{\partial}{\partial x}(x + y) = 1 & & \text{derivada de } x \text{ é } 1\text{, } y \text{ é constante} \\[6pt] U_y &= \frac{\partial}{\partial y}(x + y) = 1 & & \text{derivada de } y \text{ é } 1\text{, } x \text{ é constante} \end{aligned}\]

Ambas as utilidades marginais são constantes e iguais a 1. Isso significa que \(x\) e \(y\) são substitutos perfeitos — o consumidor sempre obtém a mesma utilidade marginal de qualquer um dos bens, independentemente da quantidade consumida.

\[\begin{aligned} TMS &= \frac{U_x}{U_y} & & \text{razão das utilidades marginais} \\[6pt] &= \frac{1}{1} = 1 & & \text{TMS constante} \end{aligned}\]

As curvas de indiferença são retas com inclinação \(-1\). Na forma geral \(U = \alpha x + \beta y\), a TMS seria \(\alpha/\beta\), podendo ser diferente de 1:1 (por exemplo, se \(\alpha = 2\) e \(\beta = 1\), o consumidor troca 2 unidades de \(y\) por 1 de \(x\)).

Caso \(\delta = -1\):

\[\begin{aligned} U &= \frac{x^{-1}}{-1} + \frac{y^{-1}}{-1} & & \text{substituindo } \delta = -1 \\[6pt] &= -x^{-1} - y^{-1} & & \text{expoente negativo no denominador} \\[6pt] &= -\frac{1}{x} - \frac{1}{y} & & \text{reescrevendo } x^{-1} = 1/x \end{aligned}\]

Note que \(U\) é sempre negativo (soma de dois termos negativos), mas isso não é problema: a utilidade é ordinal, o que importa é a ordenação. Se \(x\) e \(y\) aumentam, \(1/x\) e \(1/y\) diminuem, logo \(-1/x - 1/y\) se aproxima de zero (aumenta), confirmando que mais é melhor.

Passo 1: utilidades marginais. Para \(U = -x^{-1} - y^{-1}\), aplicar a regra da potência:

\[\begin{aligned} U_x &= \frac{\partial}{\partial x}\left(-x^{-1} - y^{-1}\right) & & \text{derivar em relação a } x\text{, } y \text{ constante} \\[6pt] &= -(-1) \cdot x^{-1-1} & & \text{regra da potência: } \frac{d}{dx}x^n = n \cdot x^{n-1} \\[6pt] &= x^{-2} = \frac{1}{x^2} & & \text{simplificando o expoente} \end{aligned}\]


\[\begin{aligned} U_y &= \frac{\partial}{\partial y}\left(-x^{-1} - y^{-1}\right) & & \text{derivar em relação a } y\text{, } x \text{ constante} \\[6pt] &= -(-1) \cdot y^{-1-1} & & \text{mesma lógica} \\[6pt] &= y^{-2} = \frac{1}{y^2} & & \text{simplificando o expoente} \end{aligned}\]

Passo 2: calcular a TMS.

\[\begin{aligned} TMS &= \frac{U_x}{U_y} & & \text{razão das utilidades marginais} \\[6pt] &= \frac{1/x^2}{1/y^2} & & \text{substituindo as derivadas} \\[6pt] &= \frac{1}{x^2} \cdot \frac{y^2}{1} & & \text{dividir por fração = multiplicar pelo inverso} \\[6pt] &= \frac{y^2}{x^2} = \left(\frac{y}{x}\right)^2 & & \text{regra: } \frac{a^n}{b^n} = \left(\frac{a}{b}\right)^n \end{aligned}\]

Note que na Cobb-Douglas (\(U = \ln x + \ln y\)) a TMS seria \(y/x\). No caso com \(\delta = -1\), a TMS é \((y/x)^2\) — o expoente 2 é justamente o que torna as curvas mais curvadas, refletindo a menor elasticidade de substituição (\(\sigma = 1/2\)).

Conexão com a fórmula geral. A TMS da CES tem a forma geral:

\[TMS = \left(\frac{y}{x}\right)^{1-\delta}\]

O expoente \(1 - \delta\) controla a curvatura das curvas de indiferença. Substituindo \(\delta = -1\), obtemos \(TMS = (y/x)^{1-(-1)} = (y/x)^2\), que é exatamente o resultado do passo 2. Na Cobb-Douglas (\(\delta \to 0\)), o expoente seria \(1 - 0 = 1\), e a TMS seria simplesmente \(y/x\). O expoente 2 faz com que a TMS varie mais rapidamente ao longo da curva de indiferença — as curvas são mais curvadas, e o consumidor é mais rígido na composição da cesta. A lógica é geral: quanto menor \(\delta\), maior o expoente \(1 - \delta\), mais curvada a indiferença, mais rígido o consumidor.

Passo 3: elasticidade de substituição \(\sigma\). Já sabemos que a TMS mede a disposição do consumidor a trocar \(y\) por \(x\). Mas quão sensível é essa disposição à composição da cesta? A elasticidade de substituição \(\sigma\) responde a essa pergunta: ela mede a variação percentual na razão \(y/x\) quando a TMS varia 1%.

Em microeconomia, toda elasticidade tem a mesma estrutura — variação percentual de uma variável dividida pela variação percentual de outra. Como \(\ln\) transforma variações proporcionais em diferenças (\(\Delta\% \approx \Delta\ln\)), a fórmula da elasticidade de substituição é:

\[\sigma = \frac{\ln(y/x)}{\ln(TMS)}\]

Partimos do resultado do passo 2 e aplicamos logaritmo natural:

\[\begin{aligned} TMS &= \left(\frac{y}{x}\right)^2 & & \text{resultado do passo 2} \\[6pt] \ln(TMS) &= 2 \cdot \ln\left(\frac{y}{x}\right) & & \text{propriedade: } \ln a^n = n \ln a \end{aligned}\]

Agora basta substituir na fórmula de \(\sigma\). Como \(\ln(TMS) = 2 \cdot \ln(y/x)\), podemos trocar o \(\ln(TMS)\) no denominador:

\[\begin{aligned} \sigma &= \frac{\ln(y/x)}{\ln(TMS)} & & \text{fórmula da elasticidade} \\[6pt] &= \frac{\ln(y/x)}{2 \cdot \ln(y/x)} & & \text{substituindo } \ln(TMS) = 2\ln(y/x) \\[6pt] &= \frac{1}{2} & & \ln(y/x) \text{ se cancela} \end{aligned}\]

Intuição: como \(TMS = (y/x)^2\), o expoente 2 indica que, para cada 1% de variação na proporção \(y/x\), a TMS varia 2%. A elasticidade \(\sigma\) é o inverso: para cada 1% de variação na TMS, a razão \(y/x\) varia apenas 0,5%. De forma geral, para a CES com \(TMS = (y/x)^{1-\delta}\):

\[\sigma = \frac{1}{1-\delta}\]

É simplesmente o inverso do expoente da TMS.

As curvas de indiferença são mais acentuadas que as da Cobb-Douglas (curvam-se mais perto da origem), refletindo que o consumidor é mais rígido na composição da cesta. Para valores negativos ainda maiores de \(\delta\) (como \(\delta = -5\), \(\sigma = 1/6\)), as curvas se aproximam cada vez mais do formato L dos complementos perfeitos.

Passo 4: comparação numérica. Para ver o efeito de \(\delta\) na prática, comparemos a TMS do caso \(\delta = -1\) (\(\sigma = 1/2\)) com a Cobb-Douglas (\(\delta \to 0\), \(\sigma = 1\)) nos pontos \((2, 4)\) e \((4, 2)\):

Cesta \((x, y)\) Razão \(y/x\) Cobb-Douglas (\(\sigma = 1\)): \(TMS = y/x\) CES com \(\delta = -1\) (\(\sigma = 1/2\)): \(TMS = (y/x)^2\)
\((2, 4)\) \(4/2 = 2\) \(2\) \(2^2 = 4\)
\((4, 2)\) \(2/4 = 0{,}5\) \(0{,}5\) \(0{,}5^2 = 0{,}25\)

Com \(\delta \to 0\) (\(\sigma = 1\)), a TMS varia de 2 para 0,5: uma queda de 4 vezes. Com \(\delta = -1\) (\(\sigma = 1/2\)), a TMS varia de 4 para 0,25: uma queda de 16 vezes. Menor \(\delta\) (menor \(\sigma\)) torna a TMS mais sensível à composição da cesta, refletindo um consumidor mais rígido que resiste a substituir entre os bens.

Verificação rápida: \(\delta = 1\) (substitutos perfeitos). Aplicando as fórmulas gerais ao caso \(U = x + y\):

\[\begin{aligned} TMS &= \left(\frac{y}{x}\right)^{1-\delta} = \left(\frac{y}{x}\right)^{1-1} = \left(\frac{y}{x}\right)^0 = 1 & & \text{qualquer número elevado a 0 é 1} \end{aligned}\]

\[\begin{aligned} \sigma &= \frac{1}{1-\delta} = \frac{1}{1-1} = \frac{1}{0} \to \infty & & \text{substituibilidade perfeita} \end{aligned}\]

A TMS constante confirma que as curvas de indiferença são retas. A elasticidade infinita indica que qualquer variação mínima de preço relativo leva o consumidor a substituir completamente um bem pelo outro.

Caso \(\delta \to 0\) (Cobb-Douglas):

Quando \(\delta = 0\), a fórmula \(U(x,y) = \frac{x^\delta}{\delta} + \frac{y^\delta}{\delta}\) não está definida (divisão por zero). Mas conforme \(\delta\) se aproxima de zero, a CES se comporta cada vez mais como a Cobb-Douglas \(U = \ln x + \ln y\).

Para ver isso, note que podemos reescrever a CES separando uma constante:

\[\frac{x^\delta}{\delta} = \frac{x^\delta - 1}{\delta} + \frac{1}{\delta}\]

O termo \(1/\delta\) não depende de \(x\) nem de \(y\) — é uma constante aditiva que não altera a ordenação das cestas (a utilidade é ordinal). Portanto, a parte relevante da CES é:

\[U^* = \frac{x^\delta - 1}{\delta} + \frac{y^\delta - 1}{\delta}\]

Pela regra de L’Hôpital, cada termo converge para \(\ln x\) quando \(\delta \to 0\):

\[\lim_{\delta \to 0} \frac{x^\delta - 1}{\delta} = \ln x\]

Podemos verificar numericamente para a cesta \((x, y) = (3, 5)\):

Bem \(x = 3\) Bem \(y = 5\) Utilidade total
\(\delta\) CES: \(\frac{3^\delta - 1}{\delta}\) Limite: \(\ln 3\) CES: \(\frac{5^\delta - 1}{\delta}\) Limite: \(\ln 5\) CES: \(U^*\) Limite: \(\ln 3 + \ln 5\)
\(0{,}5\) \(1{,}464\) \(1{,}099\) \(2{,}472\) \(1{,}609\) \(3{,}936\) \(2{,}708\)
\(0{,}1\) \(1{,}161\) \(1{,}099\) \(1{,}749\) \(1{,}609\) \(2{,}910\) \(2{,}708\)
\(0{,}01\) \(1{,}105\) \(1{,}099\) \(1{,}614\) \(1{,}609\) \(2{,}719\) \(2{,}708\)

Conforme \(\delta\) diminui, cada coluna converge para o respectivo \(\ln\), e \(U^*\) converge para \(\ln 3 + \ln 5 = 2{,}708\). Essa convergência significa que, para qualquer par de cestas, a CES com \(\delta\) próximo de zero ordena as cestas da mesma forma que a Cobb-Douglas — a Cobb-Douglas não é uma função separada, mas um caso particular da família CES. No limite:

\[U^* \to \ln x + \ln y \qquad \text{(Cobb-Douglas simétrica, } \sigma = 1\text{)}\]

O parâmetro de substituição \(\sigma\) sintetiza a relação entre \(\delta\) e o grau de substituibilidade:

\[\sigma = \frac{1}{1-\delta}\]

Tabela de unificação

\(\delta\) (substituição) \(\sigma\) (elasticidade) Função Formato da curva
\(1\) \(\infty\) Substitutos perfeitos (\(U = x + y\)) Reta
\(\to 0\) \(1\) Cobb-Douglas (\(U = \ln x + \ln y\)) Hipérbole
\(-1\) \(1/2\) CES (\(U = -1/x - 1/y\)) Curva acentuada
\(\to -\infty\) \(0\) Complementos perfeitos Formato L

Quanto maior \(\sigma\), mais facilmente o consumidor troca um bem pelo outro. Quanto menor \(\sigma\), mais rígida é a composição da cesta (Nicholson e Snyder, 2012).

Não confundir: a elasticidade de substituição (\(\sigma\)) e a elasticidade-preço da demanda (\(\varepsilon\)) medem coisas distintas.

Elasticidade de substituição (\(\sigma\)) Elasticidade-preço da demanda (\(\varepsilon\))
O que mede Facilidade de trocar \(y\) por \(x\) ao longo da curva de indiferença Sensibilidade da quantidade demandada ao preço de mercado
Contexto Preferências (antes de considerar preços) Mercado (preços e quantidades observadas)
Varia ao longo da curva? Na CES, não — constante por construção (daí o nome) Geralmente sim — varia ao longo da curva de demanda
Exemplo Na Cobb-Douglas, \(\sigma = 1\) em qualquer ponto Na demanda linear \(Q = a - bP\), \(\varepsilon\) vai de \(-\infty\) (preço alto) a \(0\) (preço baixo)

A elasticidade de substituição é uma propriedade da função de utilidade; a elasticidade-preço da demanda é uma propriedade da curva de demanda no mercado.

Implementação em R

Código
suppressPackageStartupMessages({
  library(ggplot2)
  library(latex2exp)
  library(patchwork)
})

cores_ces <- c("#2c7bb6", "#1a9641", "#d7191c")

tema_ces <- ggplot2::theme_minimal(base_size = 14) +
  ggplot2::theme(
    axis.line        = ggplot2::element_line(color = "black", linewidth = 0.5),
    panel.grid.major = ggplot2::element_line(color = "gray90"),
    panel.grid.minor = ggplot2::element_blank(),
    plot.title       = ggplot2::element_text(size = 13, face = "bold", margin = ggplot2::margin(b = 8)),
    axis.title       = ggplot2::element_text(size = 13),
    axis.text        = ggplot2::element_text(size = 11)
  )

# (a) Cobb-Douglas: y = k^2 / x
p_cd <- ggplot2::ggplot() +
  ggplot2::geom_function(
    fun = \(x) 2^2 / x, xlim = c(0.5, 8),
    color = cores_ces[1], linewidth = 1.0
  ) +
  ggplot2::geom_function(
    fun = \(x) 3^2 / x, xlim = c(0.5, 8),
    color = cores_ces[2], linewidth = 1.0
  ) +
  ggplot2::geom_function(
    fun = \(x) 4^2 / x, xlim = c(0.5, 8),
    color = cores_ces[3], linewidth = 1.0
  ) +
  ggplot2::annotate("text", x = 7.5, y = 4  / 7.5 + 0.4,
    label = latex2exp::TeX(r"($k=2$)"), color = cores_ces[1], size = 4.5) +
  ggplot2::annotate("text", x = 7.5, y = 9  / 7.5 + 0.4,
    label = latex2exp::TeX(r"($k=3$)"), color = cores_ces[2], size = 4.5) +
  ggplot2::annotate("text", x = 7.5, y = 16 / 7.5 + 0.4,
    label = latex2exp::TeX(r"($k=4$)"), color = cores_ces[3], size = 4.5) +
  ggplot2::scale_x_continuous(expand = c(0, 0), limits = c(0, 8.5)) +
  ggplot2::scale_y_continuous(expand = c(0, 0), limits = c(0, 8)) +
  ggplot2::labs(
    title = latex2exp::TeX(r"((a) $U = x^{\delta}/\delta + y^{\delta}/\delta \rightarrow \ln x + \ln y$ ($\delta \rightarrow 0$, $\sigma = 1$))"),
    x = latex2exp::TeX(r"($x$)"),
    y = latex2exp::TeX(r"($y$)")
  ) +
  tema_ces

# (b) Substitutos perfeitos: y = k - x
p_sp <- ggplot2::ggplot() +
  ggplot2::geom_function(
    fun = \(x) 4 - x, xlim = c(0, 4),
    color = cores_ces[1], linewidth = 1.0
  ) +
  ggplot2::geom_function(
    fun = \(x) 6 - x, xlim = c(0, 6),
    color = cores_ces[2], linewidth = 1.0
  ) +
  ggplot2::geom_function(
    fun = \(x) 8 - x, xlim = c(0, 8),
    color = cores_ces[3], linewidth = 1.0
  ) +
  ggplot2::annotate("text", x = 2, y = 4 - 2 + 0.5,
    label = latex2exp::TeX(r"($k=4$)"), color = cores_ces[1], size = 4.5) +
  ggplot2::annotate("text", x = 3, y = 6 - 3 + 0.5,
    label = latex2exp::TeX(r"($k=6$)"), color = cores_ces[2], size = 4.5) +
  ggplot2::annotate("text", x = 4, y = 8 - 4 + 0.5,
    label = latex2exp::TeX(r"($k=8$)"), color = cores_ces[3], size = 4.5) +
  ggplot2::scale_x_continuous(expand = c(0, 0), limits = c(0, 8.5)) +
  ggplot2::scale_y_continuous(expand = c(0, 0), limits = c(0, 8)) +
  ggplot2::labs(
    title = latex2exp::TeX(r"((b) $U = x^{\delta}/\delta + y^{\delta}/\delta = x + y$ ($\delta = 1$, $\sigma = \infty$))"),
    x = latex2exp::TeX(r"($x$)"),
    y = latex2exp::TeX(r"($y$)")
  ) +
  tema_ces

# (c) Complementos perfeitos: L-shapes com vértice em (k, k)
# Construir data frame com todos os segmentos
df_cp_segs <- do.call(rbind, lapply(seq_along(c(2, 3, 4)), function(i) {
  k <- c(2, 3, 4)[i]
  rbind(
    data.frame(x = k, y = k, xend = 8, yend = k, grupo = paste0("k=", k)),
    data.frame(x = k, y = k, xend = k, yend = 8, grupo = paste0("k=", k))
  )
}))

df_cp_pts <- data.frame(
  x = c(2, 3, 4), y = c(2, 3, 4),
  cor = cores_ces
)

p_cp <- ggplot2::ggplot() +
  ggplot2::geom_segment(
    data = df_cp_segs[df_cp_segs$grupo == "k=2", ],
    ggplot2::aes(x = x, y = y, xend = xend, yend = yend),
    color = cores_ces[1], linewidth = 1.0
  ) +
  ggplot2::geom_segment(
    data = df_cp_segs[df_cp_segs$grupo == "k=3", ],
    ggplot2::aes(x = x, y = y, xend = xend, yend = yend),
    color = cores_ces[2], linewidth = 1.0
  ) +
  ggplot2::geom_segment(
    data = df_cp_segs[df_cp_segs$grupo == "k=4", ],
    ggplot2::aes(x = x, y = y, xend = xend, yend = yend),
    color = cores_ces[3], linewidth = 1.0
  ) +
  ggplot2::geom_point(data = df_cp_pts, ggplot2::aes(x = x, y = y),
                      color = cores_ces, size = 2.5) +
  ggplot2::annotate("text", x = 2.2, y = 1.5,
    label = latex2exp::TeX(r"($k=2$)"), color = cores_ces[1], size = 4.5, hjust = 0) +
  ggplot2::annotate("text", x = 3.2, y = 2.5,
    label = latex2exp::TeX(r"($k=3$)"), color = cores_ces[2], size = 4.5, hjust = 0) +
  ggplot2::annotate("text", x = 4.2, y = 3.5,
    label = latex2exp::TeX(r"($k=4$)"), color = cores_ces[3], size = 4.5, hjust = 0) +
  ggplot2::scale_x_continuous(expand = c(0, 0), limits = c(0, 8.5)) +
  ggplot2::scale_y_continuous(expand = c(0, 0), limits = c(0, 8)) +
  ggplot2::labs(
    title = latex2exp::TeX(r"((c) $U = x^{\delta}/\delta + y^{\delta}/\delta \rightarrow$ min$(x, y)$ ($\delta \rightarrow -\infty$, $\sigma = 0$))"),
    x = latex2exp::TeX(r"($x$)"),
    y = latex2exp::TeX(r"($y$)")
  ) +
  tema_ces

# (d) CES delta = -1: U = -1/x - 1/y
# Isolando y para cada nível de utilidade U:
# U = -1:    y = x / (x - 1),       x > 1
# U = -0.75: y = x / (0.75x - 1),   x > 4/3
# U = -0.5:  y = x / (0.5x - 1),    x > 2

# Pré-computar data frames para evitar singularidades
x_d1   <- seq(1.05, 8, length.out = 500)
y_d1   <- x_d1 / (x_d1 - 1)

x_d075 <- seq(1.34, 8, length.out = 500)
y_d075 <- x_d075 / (0.75 * x_d075 - 1)

x_d05  <- seq(2.05, 8, length.out = 500)
y_d05  <- x_d05 / (0.5 * x_d05 - 1)

df_ces1   <- data.frame(x = x_d1,   y = pmin(y_d1,   8))
df_ces075 <- data.frame(x = x_d075, y = pmin(y_d075, 8))
df_ces05  <- data.frame(x = x_d05,  y = pmin(y_d05,  8))

p_ces <- ggplot2::ggplot() +
  ggplot2::geom_line(
    data = df_ces1,
    ggplot2::aes(x = x, y = y),
    color = cores_ces[1], linewidth = 1.0
  ) +
  ggplot2::geom_line(
    data = df_ces075,
    ggplot2::aes(x = x, y = y),
    color = cores_ces[2], linewidth = 1.0
  ) +
  ggplot2::geom_line(
    data = df_ces05,
    ggplot2::aes(x = x, y = y),
    color = cores_ces[3], linewidth = 1.0
  ) +
  ggplot2::annotate(
    "text", x = 7, y = 7 / (7 - 1) + 0.3,
    label = latex2exp::TeX(r"($U=-1$)"),
    color = cores_ces[1], size = 4.5
  ) +
  ggplot2::annotate(
    "text", x = 6, y = 6 / (0.75 * 6 - 1) + 0.4,
    label = latex2exp::TeX(r"($U=-0{,}75$)"),
    color = cores_ces[2], size = 4.5
  ) +
  ggplot2::annotate(
    "text", x = 5, y = 5 / (0.5 * 5 - 1) + 0.5,
    label = latex2exp::TeX(r"($U=-0{,}5$)"),
    color = cores_ces[3], size = 4.5
  ) +
  ggplot2::scale_x_continuous(expand = c(0, 0), limits = c(0, 8.5)) +
  ggplot2::scale_y_continuous(expand = c(0, 0), limits = c(0, 8)) +
  ggplot2::labs(
    title = latex2exp::TeX(r"((d) $U = x^{\delta}/\delta + y^{\delta}/\delta = -1/x - 1/y$ ($\delta = -1$, $\sigma = 1/2$))"),
    x = latex2exp::TeX(r"($x$)"),
    y = latex2exp::TeX(r"($y$)")
  ) +
  tema_ces

(p_cd + p_sp) / (p_cp + p_ces)

Interpretação

A família CES unifica os casos extremos da teoria do consumidor: substituição perfeita (\(\sigma = \infty\), curvas retas), Cobb-Douglas (\(\sigma = 1\), hipérboles), CES com \(\delta = -1\) (\(\sigma = 1/2\), curvas mais fechadas) e complementaridade perfeita (\(\sigma = 0\), formato L). O parâmetro \(\delta\) controla o grau de curvatura das isoquantas.

Na prática empírica, estimar a elasticidade \(\sigma\) é fundamental: revela o grau de substituibilidade entre bens de consumo, entre insumos de produção, ou entre fatores de investimento. Quando \(\sigma\) é alto, pequenas mudanças de preços relativos induzem grandes substituições. Quando \(\sigma\) é próximo de zero, as proporções de consumo são rígidas independentemente dos preços (Nicholson e Snyder, 2018).

Preferências são homotéticas quando a TMS depende apenas da razão \(y/x\), não das quantidades absolutas. Isso implica que as curvas de indiferença são “cópias escaladas” umas das outras, e que o consumidor mantém as mesmas proporções de consumo independentemente do nível de renda. Todas as funções estudadas até aqui (Cobb-Douglas, substitutos, complementos, CES) são homotéticas. A função quase-linear, apresentada ao final, é o principal contra-exemplo.

Essa distinção será fundamental no Capítulo 5 (Efeito Renda e Efeito Substituição) (Nicholson e Snyder, 2018): com preferências homotéticas, o efeito renda é proporcional e previsível (as curvas de Engel são retas pela origem). Com preferências não homotéticas (como a quase-linear), o efeito renda pode ser zero para um dos bens, simplificando a análise de bem-estar.

Preferências homotéticas

Baseado no Exemplo 3.3 de Nicholson e Snyder (2012).

Definição: Preferências são homotéticas quando a TMS depende apenas da razão \(y/x\), e não das quantidades absolutas de \(x\) e \(y\).

Consequência geométrica: Ao longo de qualquer raio pela origem (onde \(y/x\) é constante), a TMS é a mesma em todos os pontos. As curvas de indiferença são “cópias escaladas” umas das outras: se escalarmos uma curva por um fator \(t > 0\) (multiplicando ambas as coordenadas por \(t\)), obtemos outra curva de indiferença.

Definição formal: \(U\) é homotética se pode ser escrita como \(U(x,y) = F[f(x,y)]\), onde \(f\) é homogênea de grau \(k\) e \(F\) é uma transformação monotônica crescente.

Verificação para Cobb-Douglas (\(U = x^\alpha y^\beta\)):

Passo 1: Homogeneidade:

\[U(tx, ty) = (tx)^\alpha(ty)^\beta = t^{\alpha+\beta} x^\alpha y^\beta = t^{\alpha+\beta} U(x,y)\]

Logo \(U\) é homogênea de grau \(\alpha + \beta\).

Passo 2: TMS: \(TMS = \dfrac{\alpha}{\beta} \cdot \dfrac{y}{x}\) depende apenas de \(y/x\).

Verificação: Todas as funções estudadas anteriormente são homotéticas:

  • Cobb-Douglas: \(TMS = (\alpha/\beta)(y/x)\)
  • Substitutos perfeitos: \(TMS = \alpha/\beta\) (constante, caso especial)
  • Complementos perfeitos: consumo sempre no vértice \(y/x = \alpha/\beta\)
  • CES: \(TMS = (y/x)^{1-\delta}\)

Implicação econômica: Se a renda dobra (com preços fixos), o consumidor mantém as mesmas proporções de consumo. As curvas de Engel (quantidade consumida em função da renda) são retas passando pela origem.


Preferências não-homotéticas

Baseado no Exemplo 3.4 de Nicholson e Snyder (2012).

Função quase-linear: \(U(x,y) = x + \ln y\)

Utilidades marginais:

\[U_x = 1, \quad U_y = \frac{1}{y}\]

\[TMS = \frac{U_x}{U_y} = \frac{1}{1/y} = y\]

A TMS depende apenas de \(y\), não de \(x\). Isso significa que a disposição a trocar \(y\) por \(x\) depende apenas da quantidade de \(y\) que o consumidor possui, independentemente de quanta \(x\) tem.

Por que isso viola homoteticidade: Se dobrarmos ambas as quantidades (de \((x, y)\) para \((2x, 2y)\)), a TMS passa de \(y\) para \(2y\), ou seja, dobra. Em preferências homotéticas, a TMS permaneceria constante ao longo do raio.

Curva de indiferença: \(x + \ln y = k \Rightarrow x = k - \ln y\)

Para diferentes valores de \(k\), as curvas são translações horizontais (deslocadas na direção de \(x\) por uma constante \(k_2 - k_1\)).

Implicação econômica:

  • O bem \(x\) tem utilidade marginal constante (\(U_x = 1\)): funciona como “dinheiro” ou “todos os outros bens”
  • Aumentos de renda são gastos inteiramente no bem \(x\) (a quantidade ótima de \(y\) não muda com a renda)
  • Útil para modelar situações em que o interesse é em um bem específico (\(y\)) e o resto do consumo (\(x\)) é tratado como agregado

Exercício Resolvido

Considere \(U(x,y) = x + 2\sqrt{y}\).

Passo 1: Utilidades marginais:

\[U_x = 1, \quad U_y = \frac{2}{2\sqrt{y}} = \frac{1}{\sqrt{y}}\]

\[TMS = \frac{U_x}{U_y} = \frac{1}{1/\sqrt{y}} = \sqrt{y}\]

Passo 2: Verificar não-homoteticidade. A TMS depende apenas de \(y\), não da razão \(y/x\). Se dobrarmos ambas as quantidades: \(TMS\) passa de \(\sqrt{y}\) para \(\sqrt{2y} = \sqrt{2}\sqrt{y}\), ou seja, aumenta por um fator \(\sqrt{2}\). Em preferências homotéticas, permaneceria inalterada. Logo, as preferências são não-homotéticas.

Passo 3: Curva de indiferença para \(U = 4\): \(x + 2\sqrt{y} = 4 \Rightarrow x = 4 - 2\sqrt{y}\). Para \(U = 6\): \(x = 6 - 2\sqrt{y}\). As curvas são deslocamentos horizontais (distância \(= 6 - 4 = 2\)).


Implementação em R

Código
suppressPackageStartupMessages({
  library(ggplot2)
  library(patchwork)
  library(latex2exp)
})

# --- Painel (a): Cobb-Douglas (homotética) ---
# U = x^0.5 * y^0.5 = k  =>  y = k^2 / x
niveis_cd <- c(2, 3, 4)
cores_cd  <- c("#2c7bb6", "#1a9641", "#d7191c")

# Raio y = 2x: pontos de interseção com cada IC
# y = k^2 / x e y = 2x  =>  2x = k^2/x  =>  x^2 = k^2/2  =>  x = k/sqrt(2)
intersecoes_cd <- data.frame(
  k = niveis_cd,
  x = niveis_cd / sqrt(2),
  y = niveis_cd * sqrt(2)
)

# TMS em cada ponto: TMS = y/x = 2 (constante ao longo do raio y = 2x)
# Segmento tangente: inclinação = -TMS = -2
# Comprimento do segmento: delta_x = 0.4
delta_x <- 0.4
tangentes_cd <- intersecoes_cd |>
  dplyr::mutate(
    x0 = x - delta_x,
    x1 = x + delta_x,
    y0 = y + 2 * delta_x,
    y1 = y - 2 * delta_x
  )

p1 <- ggplot2::ggplot() +
  purrr::map(
    seq_along(niveis_cd),
    \(i) ggplot2::geom_function(
      fun  = \(x) niveis_cd[i]^2 / x,
      xlim = c(0.5, 10),
      color = cores_cd[i],
      linewidth = 0.8
    )
  ) +
  ggplot2::geom_abline(
    slope     = 2,
    intercept = 0,
    linetype  = "dashed",
    color     = "grey40",
    linewidth = 0.6
  ) +
  ggplot2::geom_point(
    data    = intersecoes_cd,
    mapping = ggplot2::aes(x = x, y = y),
    size    = 2.5,
    color   = "black"
  ) +
  purrr::map(
    seq_len(nrow(tangentes_cd)),
    \(i) ggplot2::geom_segment(
      data = tangentes_cd[i, ],
      mapping = ggplot2::aes(x = x0, xend = x1, y = y0, yend = y1),
      color     = cores_cd[i],
      linewidth = 1.1
    )
  ) +
  ggplot2::annotate(
    "text",
    x     = 5.8,
    y     = 11.5,
    label = "TMS constante ao longo do raio",
    size  = 4.5,
    color = "grey30",
    hjust = 0.5
  ) +
  ggplot2::scale_x_continuous(
    limits = c(0, 10),
    expand = c(0, 0)
  ) +
  ggplot2::scale_y_continuous(
    limits = c(0, 12),
    expand = c(0, 0)
  ) +
  ggplot2::labs(
    title = latex2exp::TeX(r"((a) Cobb-Douglas (homotética): $U = x^{0{,}5}y^{0{,}5}$)"),
    x     = latex2exp::TeX(r"($x$)"),
    y     = latex2exp::TeX(r"($y$)")
  ) +
  ggplot2::theme_minimal(base_size = 14) +
  ggplot2::theme(
    axis.line        = ggplot2::element_line(color = "black", linewidth = 0.5),
    panel.grid.major = ggplot2::element_line(color = "gray90"),
    panel.grid.minor = ggplot2::element_blank(),
    plot.title       = ggplot2::element_text(size = 13, face = "bold", margin = ggplot2::margin(b = 8)),
    axis.title       = ggplot2::element_text(size = 13),
    axis.text        = ggplot2::element_text(size = 11)
  )

# --- Painel (b): Quase-linear (não-homotética) ---
# U = x + ln(y) = k  =>  x = k - ln(y)
niveis_ql <- c(2, 3, 4)
cores_ql  <- c("#2c7bb6", "#1a9641", "#d7191c")

seq_y <- seq(0.3, 10, length.out = 300)

curvas_ql <- purrr::map(
  seq_along(niveis_ql),
  \(i) data.frame(
    y = seq_y,
    x = niveis_ql[i] - log(seq_y),
    k = niveis_ql[i]
  )
) |>
  dplyr::bind_rows() |>
  dplyr::filter(x >= 0, x <= 6)

# Seta horizontal entre k=2 e k=3, em y=1
seta <- data.frame(x0 = 2, x1 = 3, y = 1)

p2 <- ggplot2::ggplot(curvas_ql, ggplot2::aes(x = x, y = y, color = factor(k))) +
  ggplot2::geom_line(linewidth = 0.8) +
  ggplot2::geom_segment(
    data    = seta,
    mapping = ggplot2::aes(x = x0, xend = x1, y = y, yend = y),
    arrow        = ggplot2::arrow(length = ggplot2::unit(0.2, "cm"), ends = "both"),
    color        = "grey30",
    linewidth    = 0.6,
    inherit.aes  = FALSE
  ) +
  ggplot2::annotate(
    "text",
    x     = 2.08,
    y     = 1.55,
    label = latex2exp::TeX(r"($\Delta x = k_2 - k_1$)"),
    size  = 4.5,
    color = "grey30",
    hjust = 0.5
  ) +
  ggplot2::scale_color_manual(
    values = cores_ql,
    labels = latex2exp::TeX(c(r"($k=2$)", r"($k=3$)", r"($k=4$)"))
  ) +
  ggplot2::scale_x_continuous(
    limits = c(0, 6),
    expand = c(0, 0)
  ) +
  ggplot2::scale_y_continuous(
    limits = c(0, 10),
    expand = c(0, 0)
  ) +
  ggplot2::labs(
    title = latex2exp::TeX(r"((b) Quase-linear (não-homotética): $U = x + \ln y$)"),
    x     = latex2exp::TeX(r"($x$)"),
    y     = latex2exp::TeX(r"($y$)"),
    color = NULL
  ) +
  ggplot2::theme_minimal(base_size = 14) +
  ggplot2::theme(
    axis.line        = ggplot2::element_line(color = "black", linewidth = 0.5),
    panel.grid.major = ggplot2::element_line(color = "gray90"),
    panel.grid.minor = ggplot2::element_blank(),
    plot.title       = ggplot2::element_text(size = 13, face = "bold", margin = ggplot2::margin(b = 8)),
    axis.title       = ggplot2::element_text(size = 13),
    axis.text        = ggplot2::element_text(size = 11),
    legend.position  = "inside",
    legend.position.inside = c(0.88, 0.75),
    legend.text      = ggplot2::element_text(size = 11)
  )

p1 + p2


Interpretação

  • Homoteticidade é uma simplificação forte: implica que ricos e pobres consomem na mesma proporção. Na realidade, isso raramente se verifica.
  • Lei de Engel: à medida que a renda aumenta, a proporção gasta com alimentos diminui. Isso sugere que preferências por alimentos são não-homotéticas (a elasticidade-renda de alimentos é positiva, mas menor que 1; ver Note 2.4 no capítulo anterior).
  • Funções quase-lineares eliminam o efeito renda para o bem \(y\), simplificando a análise de bem-estar. São frequentemente usadas em modelos de equilíbrio parcial.

(Nicholson e Snyder, 2018)

Contexto

O Brasil oferece um caso único para estudar substituição entre combustíveis. Com a introdução dos veículos flex-fuel a partir de 2003, o consumidor brasileiro pode escolher entre gasolina e etanol a cada abastecimento. Essa escolha depende fundamentalmente dos preços relativos e da eficiência energética de cada combustível.

O etanol hidratado tem rendimento energético de aproximadamente 70% em relação à gasolina: um litro de etanol equivale a cerca de 0,7 litros de gasolina em quilômetros percorridos. Isso gera a conhecida regra dos 70%: se o preço do etanol for inferior a 70% do preço da gasolina, compensa abastecer com etanol.

Desenvolvimento Teórico

Modelar a escolha entre gasolina (\(x\)) e etanol (\(y\)) como um problema de preferências.

Se considerarmos os combustíveis como substitutos perfeitos (ajustados pela eficiência), a função de utilidade é:

\[U(x, y) = x + 0{,}7y\]

onde 1 litro de gasolina fornece 1 unidade de “serviço de combustível” e 1 litro de etanol fornece 0,7 unidades.

A TMS é constante:

\[TMS = \frac{U_x}{U_y} = \frac{1}{0{,}7} \approx 1{,}43\]

O consumidor está disposto a trocar 1 litro de gasolina por 1,43 litros de etanol (pois \(1{,}43 \times 0{,}7 \approx 1\)).

Na prática, a substituição não é perfeitamente linear: diferenças de desempenho (arranque a frio), disponibilidade de postos, e preferências por conveniência tornam a substituição imperfeita. Um modelo CES com \(\sigma\) alto (mas finito) seria mais realista (Vedenov, Duffield e Wetzstein, 2006).

Interpretação

  • Este exemplo conecta com a Note 3.5 (Parte 2): o modelo de substitutos perfeitos é o caso extremo onde o consumidor sempre escolhe o bem com melhor relação preço/rendimento
  • No Brasil, com a frota flex-fuel, a elasticidade de substituição \(\sigma\) entre gasolina e etanol é muito alta (próxima de substitutos perfeitos). Nos EUA, onde a frota é majoritariamente a gasolina, \(\sigma\) é significativamente menor (Vedenov, Duffield e Wetzstein, 2006)
  • A “regra dos 70%” é a condição \(p_e/p_g < TMS^{-1} = 0{,}7\), derivada diretamente da função de utilidade \(U = x + 0{,}7y\)
  • Este modelo pode ser conectado com a elasticidade-preço cruzada discutida no capítulo anterior

Referências